多目标工程应用:多目标灰狼优化算法MOGWO

作品简介

一、多目标灰狼优化算法

多目标灰狼优化算法(Multi-objective grey wolf optimizer,MOGOW)算法流程如下:

参考文献:S. Mirjalili, S. Saremi, S. M. Mirjalili, L. Coelho, Multi-objective grey wolf optimizer: A novel algorithm for multi-criterion optimization, Expert Systems with Applications, in press, DOI: http://dx.doi.org/10.1016/j.eswa.2015.10.039

二、工程应用

2.1盘式制动器设计(Disk brake design problem)

两个目标函数,制动系统的重量和停止时间最小化。

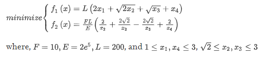
2.2杆桁架问题(4-bar truss problem

两个目标函数,桁架的体积和节点的位移最小化。

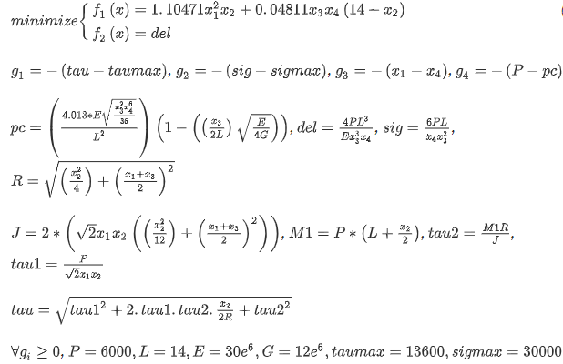
2.3焊梁设计问题(Welded beam design problem

两个目标函数,制造成本和垂直偏转最小化。

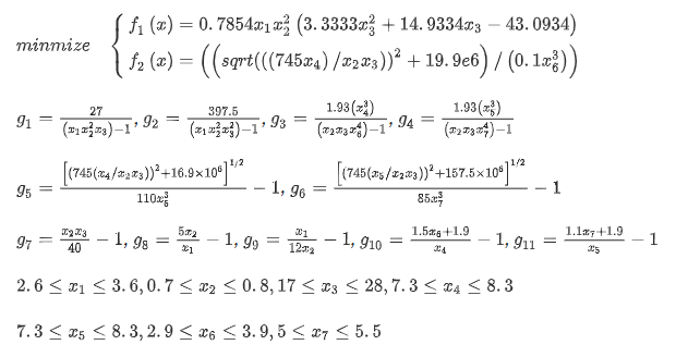
2.4减速机问题(Speed reducer problem

两个目标函数,总重量和应力最小化。

2.5环境经济负荷分配问题(IEEE 30-bus)

参考文献:吴亮红. 多目标动态差分进化算法及其应用研究[D].湖南大学,2011.

随着现代电力系统的发展,能源的益紧缺,电力改革不断深入,厂网分开、竞价上网已成必然。在确保机组安全运行的前提下,实时合理分配电力系统各机组间负荷,最大限度地降低发电煤耗率是市场对发电厂提出的现实要求。经济负荷分配问题就是在满足火力发电机组和电力系统运行约束的条件下,在各台机组间合理地分配负荷使得发电成本最小化。然而,由于火力发电过程中燃料燃烧所产生的、和等排放引起的环境污染问题日益引起人们的关注和重视,对污染的控制和治理将直接影响到经济负荷分配问题。为了控制环境污染,可采取很多措施,如采用高质量燃料、改造旧设备、净化空气等。但这些措施将产生新的运作和维修成本,即污染控制成本。该成本的大小与污染排放量的多少直接相关。因此,在发电系统中,发电成本最小已不再是唯一要考虑的问题。如何在满足系统发电约束条件下,将发电成本和污染控制成本一起优化,即环境经济负荷分配问题(EED),成为许多研究人员关注的课题。

通常,EED是在满足负荷和运行约束的条件下,同时最小化发电成本和污染控制成本。然而,电力系统无功优化直接影响到电力系统的稳定性和电能质量。毫无疑问,减小线损能够同时提高系统的有功和无功分配,有利于降低发电成本,提高系统的安全性。因此,EED问题可看作一个包含经济环境线损三个目标的多目标优化问题。

目标函数:

问题约束:

问题模型:

三、数值实验

部分实验结果如下:

3.1盘式制动器设计(Disk brake design problem):

3.2 杆桁架问题(4-bar truss problem

四、源文件

文件夹内包含五个工程应用的所有代码,可以直接运行,包含工程应用的参考文献地址。


创作时间: