多目标优化算法:非支配排序粒子群优化算法NSPSO

作品简介

一、NSPSO

非支配排序粒子群优化算法(Non-dominated Sorting Particle Swarm Optimization,NSPSO)由非支配排序策略与粒子群优化算法融合而成。为了验证所提的NSPSO的有效性,将其在46个多目标测试函数(ZDT1、ZDT2、ZDT3、ZDT4、ZDT6、DTLZ1-DTLZ7、WFG1-WFG10、UF1-UF10、CF1-CF10、Kursawe、Poloni、Viennet2、Viennet3)以及1个工程应用(盘式制动器设计)上实验。

部分实验结果如下:

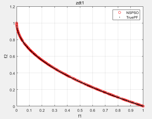
ZDT1:

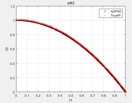
ZDT2:

ZDT3:

Viennet2:

Viennet3:

二、工程应用

盘式制动器设计

NSPSO求解结果:

三、源代码

源代码包含NSPSO的所有代码(含46个测试函数+1个工程应用+4种评价指标),非支配排序原理参考NSWOA。




创作时间: