多目标优化算法:多目标白鲨优化算法MOWSO

作品简介

一、算法简介

白鲨优化算法(White Shark Optimizer,WSO)由Malik Braik等人于2022年提出,该算法受大白鲨导航和觅食时具有的非凡听觉和嗅觉启发。该算法思路新颖,策略高效。

大白鲨体呈纺锤型,躯干较粗壮。头一般长。尾基上下方各具一凹洼;尾柄具侧突。吻较短而尖突。眼中大,圆形,无瞬膜。前鼻瓣细小突出;无口鼻沟或触须。口裂宽,弧形,下颌极短,口闭时露齿;颌齿大型,边缘具锯齿,前面齿窄长而如钻子状,侧面齿侧扁如刀状,往后则渐低小,齿无小齿尖。喷水孔微小,有时消失。背鳍2个,第一背鳍稍大,起点与胸鳍后端相对或稍中,后缘凹入,上角略尖圆,下角微尖突;第二背鳍很小,起点与臀鳍起点相对,后缘微凹入,上角钝圆,下角微尖突;胸鳍宽大型,镰刀状,后缘微凹入,外角钝尖,内角钝圆;尾鳍宽短,尾椎轴稍上扬,上尾叉较长大,由上叶、尾椎轴及下叶中后部组成;下尾叉较短小,由尾鳍下叶前部的突出部分组成。体背侧青灰色,或暗褐色,或近黑色;腹侧淡色至白色。胸鳍腋上具一黑色斑块;腹鳍白色,前部具一青灰色斑块;背鳍、胸鳍和尾鳍后部暗色。

二、算法原理

与生活在自然界中的任何生物类似,大白鲨在海洋中游荡,同时寻找猎物,因此它们会相应地改变自己的位置。在这方面,它们几乎使用一切可用的方法来追踪、跟踪和定位猎物。大白鲨具有敏锐的听觉和嗅觉,这为它的捕食提供强大的帮助:

大白鲨身上的两条线可以检测水压的变化,揭示猎物的运动。湍流猎物发出的水压变化将吸引白鲨的注意力转向猎物。它们甚至有器官可以感知猎物运动过程中产生的微小电磁场。然后,根据猎物运动过程中波漂移的频率及其湍流,它们可以精确定位猎物的位置及其大小。当白鲨如此接近其目标时,它将能够拾取电磁场,当它找到猎物时,它将以起伏的运动移动到猎物身上。

白鲨优化算法(WSO)主要包含以下阶段:

2.1快速向猎物移动

由于白鲨是喜欢生存的生物,它们大部分时间都在狩猎和追踪猎物。它们通常使用各种方法来跟踪和跟踪猎物,使用它们非凡的感官,如听觉,视觉和嗅觉。当白鲨根据猎物移动时听到的海浪的犹豫来感知猎物的位置时,它会以起伏的运动移动到猎物身上,这种运动可以定义如方程表示:

2.2包围最佳猎物

大白鲨大部分时间都在寻找潜在的猎物。因此,白鲨的位置不断变化。当它们听到猎物运动引起的海浪或闻到猎物的气味时,它们通常会走向猎物。在某些情况下,猎物离开它的位置要么是因为白鲨移动到它身边,要么是为了寻找食物。通常,猎物会在那个位置留下气味,白鲨仍然可以闻到猎物的气味。在这种情况下,白鲨在随机位置导航以寻找猎物,就像鱼群寻找食物来源的行为一样。通过以下公式模拟白鲨行为:

2.3向最佳鲨鱼靠近

当白鲨发现猎物,围攻猎物以后,就向其最佳进攻位置靠近进行捕杀猎物:

2.4鱼群行为

为了在数学上模拟白鲨群的行为,通过保留了前两个最佳解,并根据两个最佳位置更新其他白鲨的位置:

三、算法流程

四、数值实验

多目标白鲨优化算法(Multiple Objective White Shark Optimizer,MOWSO)由白鲨优化算法的优良策略与多目标优化思想融合而成。为了验证所提的MOWSO的有效性,将其在46个多目标测试函数(ZDT1、ZDT2、ZDT3、ZDT4、ZDT6、DTLZ1-DTLZ7、WFG1-WFG10、UF1-UF10、CF1-CF10、Kursawe、Poloni、Viennet2、Viennet3)以及1个工程应用(盘式制动器设计)上实验。

4.1部分实验结果

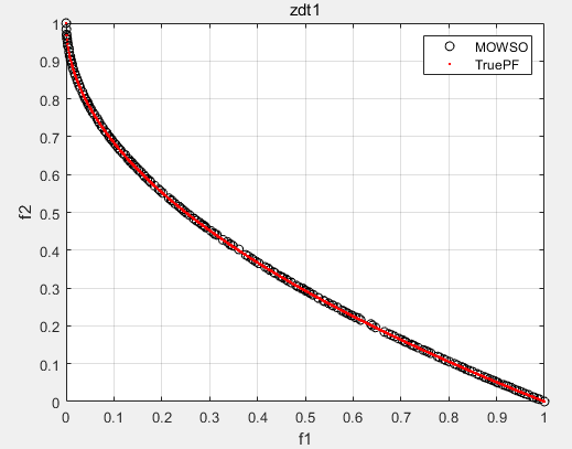
ZDT1:

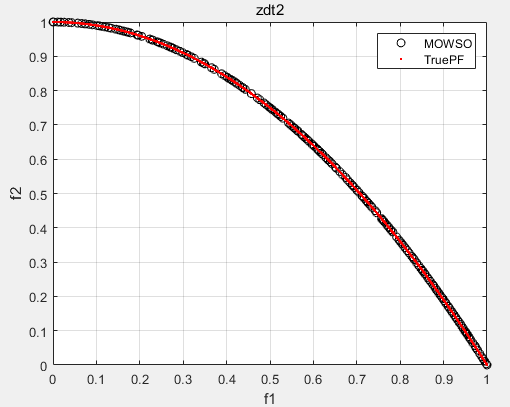
ZDT2:

ZDT3:

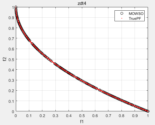
ZDT4:

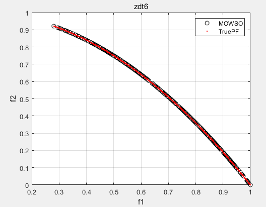
ZDT6:

DTLZ5:

DTLZ6:

4.2工程应用

盘式制动器设计

MOWSO求解结果:

4.3评价指标

五、参考代码

源文件夹包含MOWSO所有代码(含46个多目标测试函数+1个工程应用+4种评价指标)、原始文献以及多目标测试函数的TruePF。代码可直接运行,支持二次开发。MOWSO思路新颖,极其高效,在多目标函数测试集上优势显著,大力推荐。


创作时间: