多目标优化算法:多目标北方苍鹰优化算法MONGO

作品简介

一、算法简介

北方苍鹰优化算法(Northern Goshawk Optimization,NGO)由MOHAMMAD DEHGHANI等人于2022年提出,该算法,该算法模拟了北方苍鹰捕猎过程(猎物识别和攻击、追逐及逃生)。

二、算法原理

北方苍鹰优化算法模拟了苍鹰狩猎过程中的行为,可包含两个阶段:

2.1识别猎物及攻击猎物(全局搜索)

北方苍鹰在狩猎的第一阶段,随机选择猎物,然后迅速攻击它,属于全局搜索阶段,可用以下数学模型进行描述:

2.2追逐及逃生(局部搜索)

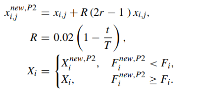
在北方苍鹰靠近猎物后,猎物试图逃跑,此时苍鹰将继续追随,防止猎物逃跑,因此采取局部搜索,其数学模型如下:

三、算法流程

四、数值实验

将北方苍鹰优化算法的优良策略与多目标优化思想结合,形成多目标北方苍鹰优化算法(MONGO),为了验证所提的MONGO的有效性,将其在46个多目标测试函数(ZDT1、ZDT2、ZDT3、ZDT4、ZDT6、DTLZ1-DTLZ7、WFG1-WFG10、UF1-UF10、CF1-CF10、Kursawe、Poloni、Viennet2、Viennet3)以及1个工程应用(盘式制动器设计)上实验。

4.1函数测试

部分测试函数结果:

ZDT2:

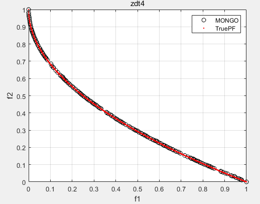
ZDT4:

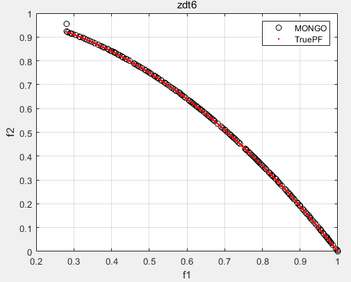
ZDT6:

DTLZ6:

4.2工程应用

盘式制动器设计

MONGO求解结果:

4.3评价指标

五、源代码

源文件夹包含MONGO所有代码(含46个多目标测试函数+1个工程应用+4种评价指标)以及原始文献。代码可直接运行,支持二次开发。MONGO原理简单,思路新颖,算法高效,值得推荐。


创作时间: