多目标优化算法:多目标鹈鹕优化算法MOPOA

作品简介

一、算法简介

鹈鹕优化算法(Pelican Optimization Algorithm,POA)由Pavel Trojovský和Mohammad Dehghani 于2022年提出,该算法模拟了鹈鹕在狩猎过程中的自然行为。

鹈鹕很大,喙很长,喉咙里有一个大袋子,用来捕捉和吞咽猎物。这种鸟喜欢群体和社交生活,并以数百只鹈鹕为一组生活。鹈鹕的外观如下:它们的体重约为2.75至15公斤,高度约为1.06至1.83米,翼展约为0.5至3米。鹈鹕的食物主要由鱼类组成,更罕见的是青蛙,海龟和甲壳类动物;如果它非常饿,它甚至会吃海鲜。鹈鹕经常一起打猎。鹈鹕在确定猎物的位置后,从10-20米的高度潜入猎物。当然,一些物种也会在低海拔地区下降到它们的猎物。然后,它们在水面上展开翅膀,迫使鱼进入浅水区,以便它们可以轻松捕获鱼。当捕获鱼时,大量的水进入鹈鹕的喙,在吞下鱼之前将头部向前移动以除去多余的水。

二、算法原理

POA模拟了鹈鹕在攻击和狩猎猎物时的行为和策略,分为两个阶段:

2.1逼近猎物(全局探索阶段)

在第一阶段,鹈鹕确定猎物的位置,然后向这个确定的区域移动。对这种鹈鹕的策略进行建模,可以进行搜索空间扫描,并发挥所提出的POA在发现搜索空间不同区域方面的探索能力。POA中的重要一点是,猎物的位置是在搜索空间中随机生成的。这增加了POA在精确搜索问题解决空间方面的探索能力。上述概念和鹈鹕向猎物位置移动的策略通过下面模型进行数学模拟。

2.2水面飞行(局部探索阶段)

在第二阶段,鹈鹕到达水面后,在水面上展开翅膀,将鱼向上移动,然后将猎物收集在喉咙袋中。这种策略导致攻击区域内更多的鱼被鹈鹕捕获。对鹈鹕的这种行为进行建模,使所提出的POA收敛到狩猎区域中更好的点。这个过程增加了本地搜索能力和POA的利用能力。从数学的角度来看,该算法必须检查鹈鹕位置附近的点,以收敛到更好的解决方案。鹈鹕在狩猎过程中的这种行为在数学建模为:

三、算法流程

四、数值实验

将鹈鹕优化算法的优良策略与多目标优化思想结合,形成多目标鹈鹕优化算法(MOPOA),为了验证所提的MOPOA的有效性,将其在46个多目标测试函数(ZDT1、ZDT2、ZDT3、ZDT4、ZDT6、DTLZ1-DTLZ7、WFG1-WFG10、UF1-UF10、CF1-CF10、Kursawe、Poloni、Viennet2、Viennet3)以及1个工程应用(盘式制动器设计)上实验。

4.1测试函数部分结果

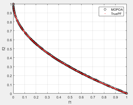
ZDT1:

ZDT2:

ZDT3:

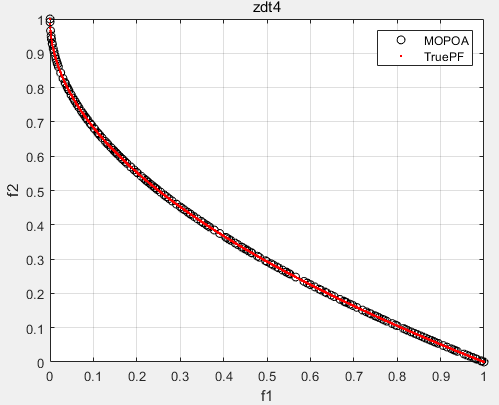
ZDT4:

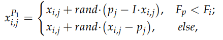
ZDT6:

4.2工程应用(盘式制动器设计

参考多目标优化算法:多目鳄鱼狩猎策略优化算法MOCHS

MOPOA求解结果:

4.3评价指标

五、参考代码

源文件夹包含MOPOA所有代码(含46个多目标测试函数+1个工程应用+4种评价指标)以及原始文献。代码可直接运行,支持二次开发。MOPOA原理简单,思路新颖,算法高效,值得推荐。



创作时间: