多目标优化算法:多目标嗅觉优化算法MOSAO

作品简介

一、算法简介

嗅觉优化算法(Smell Agent Optimization,SAO)由Ahmed T. Salawudeen等人于2022年提出,该算法受气味来源启发所得,思路新颖。

二、算法原理

SAO模拟了气体来源的三种模式:

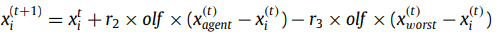
2.1嗅探模式

2.2尾随模式

2.3随机模式

三、算法流程

四、数值实验

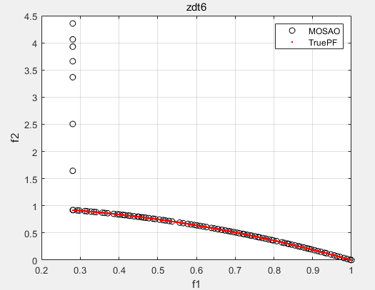
嗅觉优化算法的优良策略与多目标优化思想结合,形成多目标嗅觉优化算法(MOSAO),为了验证所提的MOSAO的有效性,将其在46个多目标测试函数(ZDT1、ZDT2、ZDT3、ZDT4、ZDT6、DTLZ1-DTLZ7、WFG1-WFG10、UF1-UF10、CF1-CF10、Kursawe、Poloni、Viennet2、Viennet3)以及1个工程应用(盘式制动器设计)上实验。

4.1测试函数部分结果

ZDT1:

ZDT3:

ZDT6:

4.2工程应用(盘式制动器设计

参考多目标优化算法:多目鳄鱼狩猎策略优化算法MOCHS

MOSAO求解结果:

4.3评价指标

五、源文件

源文件夹包含MOSAO所有代码(含46个多目标测试函数+1个工程应用+4种评价指标)以及原始文献。代码可直接运行,支持二次开发。MOSAO原理简单,思路新颖,算法高效,值得推荐。


创作时间: