多目标优化算法:多目标原子轨道搜索算法(MOAOS)

作品简介

一、算法简介

原子轨道搜索(Atomic orbital search, AOS)算法由Mahdi Azizi于2021年依据量子原子理论所考虑的电子密度构型和原子对能量的吸收或发射的基本原理所启发而提出的一种元启发式算法

二、算法原理

参考基于原子轨道搜索算法的函数寻优算法_心️升明月的博客-CSDN博客



三、算法流程

四、数值实验

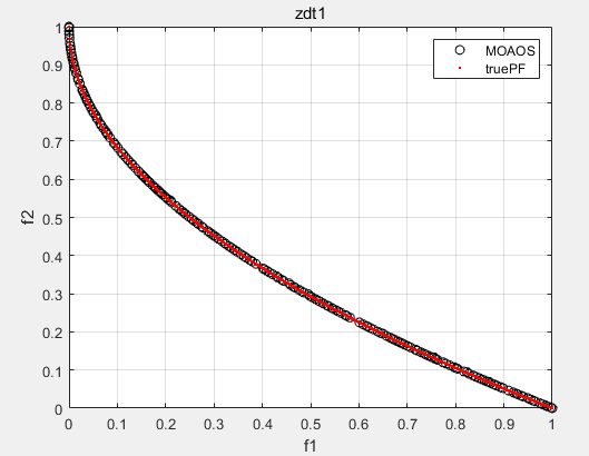
原子轨道搜索算法的优良策略与多目标优化思想结合,形成多目标原子轨道搜索算法(MOAOS),为了验证所提的MOAOS的有效性,将其在46个多目标测试函数(ZDT1、ZDT2、ZDT3、ZDT4、ZDT6、DTLZ1-DTLZ7、WFG1-WFG10、UF1-UF10、CF1-CF10、Kursawe、Poloni、Viennet2、Viennet3)以及1个工程应用(盘式制动器设计)上实验。

4.1测试函数部分结果

ZDT1:

ZDT2:

ZDT3:

4.2工程应用(盘式制动器设计

参考多目标优化算法:多目鳄鱼狩猎策略优化算法MOCHS

MOAOS求解结果:

4.3评价指标

五、源代码

源文件夹包含MOAOS所有代码(含46个多目标测试函数+1个工程应用+4种评价指标)以及原始文献。代码可直接运行,支持二次开发。


创作时间: