多目标优化算法:多目鳄鱼狩猎策略优化算法MOCHS

作品简介

一、算法简介

鳄鱼狩猎策略优化算法(crocodiles hunting strategy optimization algorithm,CHS)由Alireza Balavand2021年提出,该算法的主要灵感来自鳄鱼狩猎策略

二、算法原理

鳄鱼狩猎策略优化算法模拟了鳄鱼的捕食行为,将鳄鱼种群分为追逐者和伏击者,分别对应捕食行为中的追逐猎物和攻击猎物两个阶段。

2.1 追逐猎物

追逐者为种群中适应度值较优的前一半个体,伏击者为种群中剩下的个体,各占种群大小的一半。

在追逐猎物阶段,如果追逐者靠近猎物,则攻击由追逐者完成,否则,通过靠近猎物的随机接近,通过以下模型模拟该过程。

2.2 攻击猎物

在攻击猎物阶段,每个伏击者要么以旋转运动在猎物周围运动,要么根据所有追逐者、伏击者和猎物的姿势平均值来更新自己的位置,通过以下模型模拟该过程。


三、算法流程

四、多目鳄鱼狩猎策略优化算法MOCHS

4.1函数测试

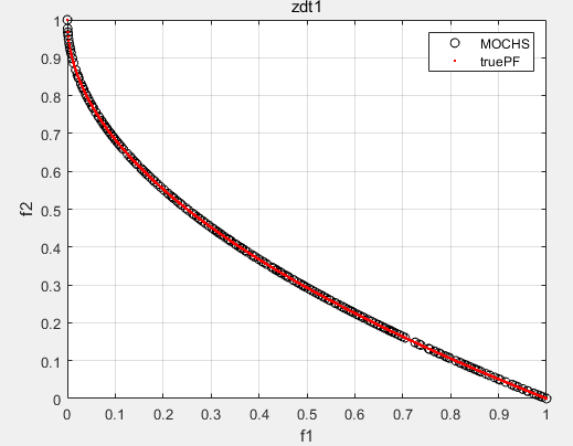
鳄鱼狩猎策略优化算法的优良策略与多目标优化思想结合,形成多目鳄鱼狩猎策略优化算法(MOCHS),为了验证所提的MOCHS的有效性,将其在46个多目标测试函数(ZDT1、ZDT2、ZDT3、ZDT4、ZDT6、DTLZ1-DTLZ7、WFG1-WFG10、UF1-UF10、CF1-CF10、Kursawe、Poloni、Viennet2、Viennet3)上实验。

ZDT1:

ZDT2:

ZDT3:

4.2 工程应用

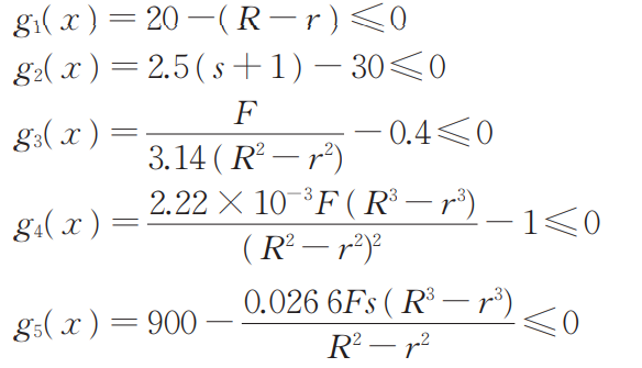
设计优化,特别是结构设计,在工程当中有着广泛 的应用。盘式制动器设计是一个广为人知的多目标 工程设计问题。该问题有4个设计变量:圆盘外半径 R 和内半径r,接合力F和摩擦表面数目s。

目标是最小化 制动器质量 f1( x )和制动时间 f2( x)。 该设计的约束包括 半径之间的最小距离、制动器的最大长度、压力、温度和 扭矩的限制,分别用g1( x )、g2( x )、g3( x )、g4( x )和g5( x )表示 。 问题描述如下:

最小化目标:

约束条件:

其 中 ,55 ≤ r ≤ 80,75 ≤ R ≤ 110,1 000 ≤ F ≤ 3 000,2≤ s ≤ 20 

4.3指标评价

(1)迭代距离(Generational Distance,GD):衡量真实 PF 上与近似解集之间的间隔距离。需要预先获得一组在真 实 PF 上均匀采样的解集。GD 值越小,表示 S 具有越好的收敛性,越能逼近整个 PF。

(2)反向迭代距离 (Inverted Generational Distance,IGD) 衡量的是真实 PF 的个体到算法求得的近似解集之间最小 距离的平均值,因此计算 IGD 需要预先获得一组在真实 PF 上均匀采样的解集。IGD 值越小,表示 具有越好的收敛与多样性能,越能逼近整个 PF。

(3)超体积指标( Hypervolume,HV)指给定一组预先设置 分布在目标空间的参考点 r 与一组由算法 得到的 PF 近似解集 S ,满足 r 被 S 中所有解支配。HV 衡 量的是以 r * 为边界、被 S 支配目标空间的体积大小。HV 值越大,表示 S 越 近似于整个 PF。

(4)空间评价方法(Spacing Metric,SP)用于衡量每个解到其他相邻解之间最小距离的标准差,SP值越小,说明解集越均匀。

4.4 参考文献

[1]温泽宇,谢珺,谢刚,续欣莹.基于新型拥挤度距离的多目标麻雀搜索算法[J].计算机工程与应用,2021,57(22)

[2]胡涵,李振宇.多目标进化算法性能评价指标综述[J].软件导刊,2019,18(09):1-4.

五、源文件

源文件夹包含MOCHS所有代码(含46个多目标测试函数、1个工程应用、4种评价指标)。代码可直接运行,支持二次开发,MOCHS效果非常棒,算法新颖,求解速度快,大力推荐。





创作时间: