微分方程仿真(弹簧振子和波动)

作品简介



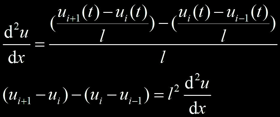
% 一维波动方程数值解
% 杆的纵向振动
% 有限差分法
% 编写环境: MATLAB R2019b
function rodvibration_4
close all
c = 3; % 波速
xmin = 0;
xmax = 30;
Nx = 200; % 空间离散化数目
tmin = 0;
tmax = 100*10;
Nt = 2401*10; % 时间离散化数目
bc = 'd'; % 边界条件

x = linspace(xmin, xmax, Nx)';
t = linspace(tmin, tmax, Nt);
dx = (xmax - xmin)/(Nx - 1);
dt = (tmax - tmin)/(Nt - 1);
C = c*dt/dx; C2 = C*C;

    ......



创作时间: