多目标优化算法:多目标阿里巴巴和四十大盗算法MOAFT

作品简介

一、算法简介

阿里巴巴和四十大盗算法(Ali Baba and the forty thieves,AFT)由Malik Braik等人2021年提出,该算法的主要灵感来自四十名小偷在充满各种宝藏的奇怪洞穴中寻找阿里巴巴的过程

二、算法原理

阿里巴巴和四十大盗的故事的本质是基于搜索的,一个四十个小偷团伙追捕阿里巴巴。该团伙的最终目标是抓住阿里巴巴进行报复并夺回他们的宝藏。该团伙对阿里巴巴进行的搜索本质上是迭代的,分几轮进行,每次都强化了之前迭代找到的解决方案。搜索基于小偷的集体行为,在所提出的算法中表示为人口。故事的主角玛嘉妮(Marjaneh)采取的反制措施阻止了该团伙在每次迭代时完成他们的搜索任务。阿里巴巴居住的大城镇代表了搜索空间。这个故事展示了四十个小偷在追踪阿里巴巴并发现他家的位置方面的成功。掠夺者在实现战略目标和找到阿里巴巴方面的成功行动是基于聪明的技巧和战术。然而,阿里巴巴精明的女仆Marjaneh的敏锐,在每一种策略中都挽救了阿里巴巴的生命。

在第一次审判中,该团伙的助理队长伪装成外国人进入该镇,希望听到任何谈话或找到任何线索,可以引导他找到阿里巴巴。他设法到达了阿里巴巴的家,并在门上标上了"X"标志,以完成该团伙的最终任务。Marjaneh观察了这个标记,作为回应,她在附近所有房屋的门上都贴上了类似的标记,使计划毫无用处。该算法利用了强盗所遵循的策略,使勘探效率最大化。

第二次审判发生在船长的另一名助手执行任务时。他借鉴了战友以前遵循的程序。在我们的算法中,这是通过使每次迭代中的搜索建立在迄今为止从以前的迭代中发现的最佳解决方案来使用的。这一次,劫匪在阿里巴巴的房子里标上了一个不容易被偶然观察到的标志。在AFT中,这再次反映了以前发现的解决方案的利用率和增强性。这导致所提出的算法具有较强的探索和开发特征。

第三次审判发生时,船长决定改变计划,并承担起捕获阿里巴巴的任务,但尚未在他的两名助手迄今为止取得的成就的基础上再接再厉。船长和他的追随者成功地到达了阿里巴巴的家,他们采取了一切可能的措施,在攻击阿里巴巴时不被发现,但他们失败了。

针对阿里巴巴的最后一次审判是由船长独自一人进行的,他带着一个全新的计划,伪装成一个卖丝绸的商人,并把自己介绍给阿里巴巴的儿子。帮派队长的毅力和毅力是成功搜索技术的良好特质。

AFT模仿了阿里巴巴和四十个小偷的故事,作为人类行为社会行为的协调模型。从这个故事中得出的以下原则实现了该算法的基本假设:

(1)四十名小偷组成一个小组,从某人或其中一个小偷那里得到指导,找到阿里巴巴的房子。此信息可能正确,也可能不正确。

(2)四十个小偷将从最初的距离开始行进一段距离,直到他们找到阿里巴巴的房子。

(3)Marjaneh可以多次欺骗小偷,用精明的方法以某种方式保护阿里巴巴,使他们免受一定比例的袭击。

盗贼和Marjaneh的行为可以以这样的方式制定,即它们可以链接到要优化的目标函数。

如上所述,在四十名小偷寻找阿里巴巴时,可能会发生三种基本情况。在每种情况下,都假设小偷在整个周围环境中有效地进行搜索,而由于Marjaneh的情报迫使窃贼在随机位置进行搜索,因此也会发生一定比例。上述搜索行为可以在数学上建模如下:

2.1案例1:

窃贼可能会在从某人那里获得的信息的帮助下追踪阿里巴巴。在这种情况下,可以按如下方式获取小偷的新位置:

2.2案例2:

小偷可能会意识到他们被骗了,所以他们会随机探索阿里巴巴的搜索空间。在这种情况下,可以按如下方式获取小偷的新位置:

2.3案例3:

为了平衡AFT算法的探索和开发,AFT还考虑了使用如下方程可以获得的其他位置的搜索。在这种情况下,可以按如下方式获取小偷的新位置:

三、算法流程

四、多目标阿里巴巴和四十大盗算法MOAFT

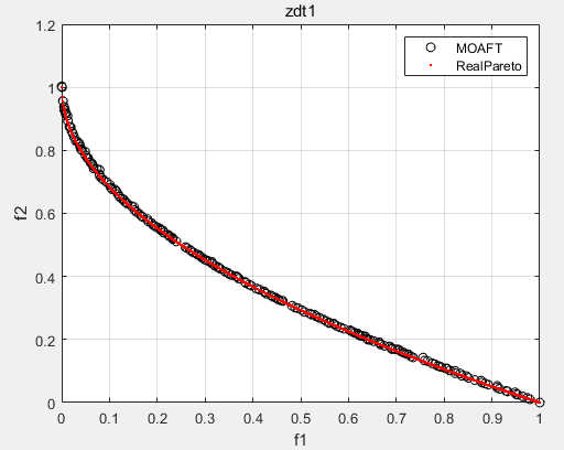
阿里巴巴和四十大盗算法的优良策略与多目标优化思想结合,形成多目标阿里巴巴和四十大盗算法(MOAFT),为了验证所提的MOAFT的有效性,将其在46个多目标测试函数(ZDT1、ZDT2、ZDT3、ZDT4、ZDT6、DTLZ1-DTLZ7、WFG1-WFG10、UF1-UF10、CF1-CF10、Kursawe、Poloni、Viennet2、Viennet3)上实验。

ZDT1:

ZDT2:

ZDT3:

ZDT4:

DTLZ6:

Viennet3:

五、源文件

源文件夹包含MOAFT所有代码(含46个多目标测试函数)以及原始文献。代码可直接运行,支持二次开发。


创作时间: