多目标优化算法:多目标海鸥优化算法MOSOA

作品简介

一、算法简介

海鸥优化算法(Seagull optimization algorithm,SOA)由Gaurav DhimanVijay Kumar2019年提出,该算法的主要灵感来自自然界中海鸥的迁徙和捕食行为

二、算法原理

海鸥是一种遍布全球的群居海鸟,会随着季节的变化在不同地域之间迁徙以寻觅食物。海鸥的捕食过程由迁徙阶段和捕食阶段构成:迁徙阶段,海鸥按照一定规律保持个体的飞行独立性,以避免相互碰撞;捕食阶段,海鸥以螺旋飞行方式向猎物发起攻击。这两种行为可由下图进行描述:

2.1迁徙阶段

2.2捕食阶段

三、算法流程

四、多目标海鸥优化算法MOSOA

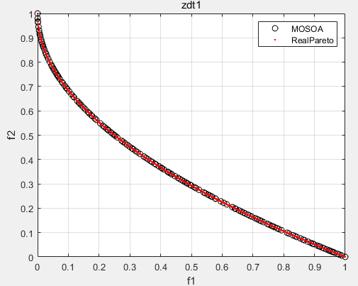
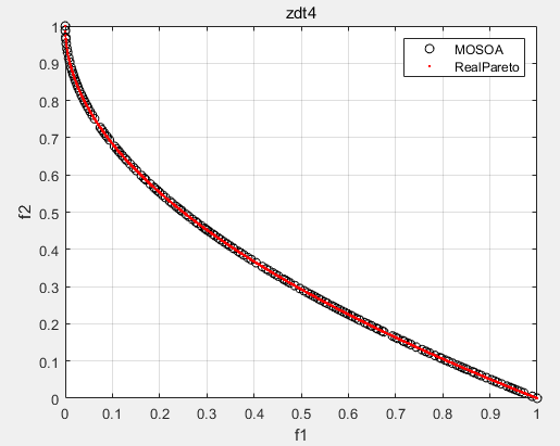
将海鸥优化算法的优良策略与多目标优化思想结合,形成多目标海鸥优化算法(MOSOA),为了验证所提的MOSOA的有效性,将其在46个多目标测试函数(ZDT1、ZDT2、ZDT3、ZDT4、ZDT6、DTLZ1-DTLZ7、WFG1-WFG10、UF1-UF10、CF1-CF10、Kursawe、Poloni、Viennet2、Viennet3)上实验。

ZDT1:

ZDT2:

ZDT3:

ZDT4:

DTLZ6:

Viennet3:

五、源文件

源文件夹包含MOSOA所有代码(含46个多目标测试函数)以及原始文献。代码可直接运行,支持二次开发。


创作时间: