多目标优化算法:多目标平衡优化算法MOEO(Matlab代码)

作品简介

一、算法简介

平衡优化算法(Equilibrium optimizer,EO)由 Faramarzi等人于2020年提出,其灵感来自通过控制体积质量平衡,以估计动态和平衡状态的过程。

二、算法原理

三、算法描述

四、多目标平衡优化算法MOEO

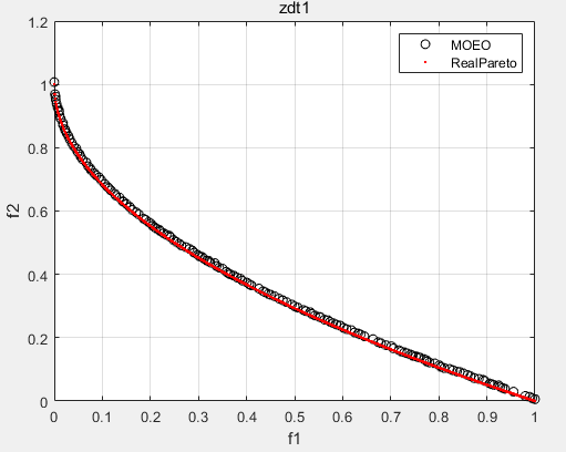
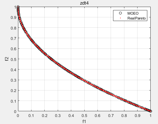
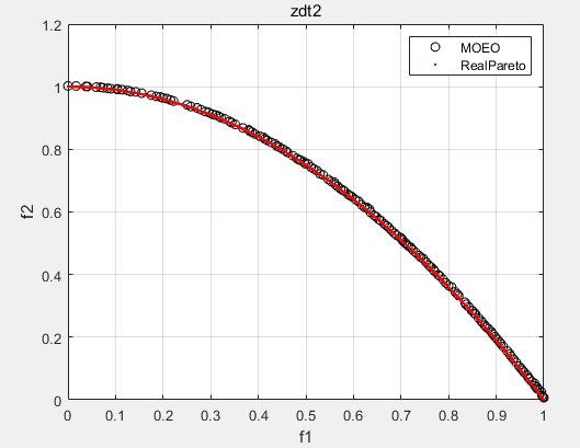
平衡优化算法的优良策略与多目标优化思想结合,形成多目标平衡优化算法MOEO),为了验证所提的MOEO的有效性,将其在46个多目标测试函数(ZDT1、ZDT2、ZDT3、ZDT4、ZDT6、DTLZ1-DTLZ7、WFG1-WFG10、UF1-UF10、CF1-CF10、Kursawe、Poloni、Viennet2、Viennet3)上实验。

ZDT1:

ZDT2:

ZDT3:

ZDT4:

DTLZ5:

DTLZ6:

五、源文件

源文件夹包含MOEO所有代码(含46个多目标测试函数)以及原始文献。代码可直接运行,支持二次开发。


创作时间: