多目标优化算法:多目标移动阻尼波算法MOMDWA

作品简介

一、算法简介

移动阻尼波优化算法(Movable damped wave algorithm,MDWA)由Rizk M. Rizk-Allah 和 Aboul Ella Hassanien于2018年提出,该算法模拟了振荡现象引起波形的行为。

二、算法原理

阻尼波或阻尼正弦波是一种波幅随着时间的增加而减小并达到零的波。它通常用于描述科学和工程中的许多振荡现象,其中连续的峰值随着时间的推移而减少。

在大多数真实系统中,例如电子和机械系统,当施加任何输入能量(即脉冲或冲击)时,它们都会振荡。这种能量改变了系统的静止状态,这将启动振荡现象,这些现象将由于其组件的能耗而逐渐消失,然后振荡意味着被阻尼。

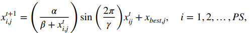
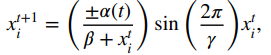
位置更新如下:

三、算法流程

四、多目标移动阻尼波优化算法MOMDWA

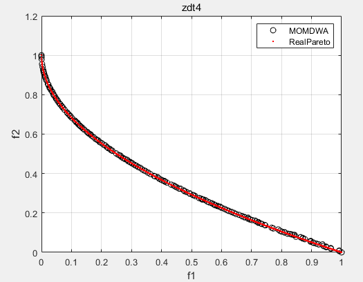
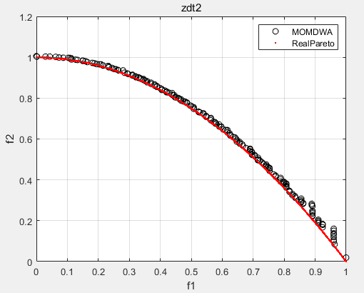
移动阻尼波优化算法的优良策略与多目标优化思想结合,形成多目标移动阻尼波优化算法MOMDWA),为了验证所提的MOMDWA的有效性,将其在46个多目标测试函数(ZDT1、ZDT2、ZDT3、ZDT4、ZDT6、DTLZ1-DTLZ7、WFG1-WFG10、UF1-UF10、CF1-CF10、Kursawe、Poloni、Viennet2、Viennet3)上实验。

ZDT1:

ZDT2:

ZDT3:

ZDT4:

Kursawe:

Viennet3:

五、源文件

源文件夹包含MOMDWA所有代码(含46个多目标测试函数)以及原始文献。代码可直接运行,支持二次开发。


创作时间: