多目标优化算法:多目标海洋捕食者算法MOMPA(Matlab代码)

作品简介

一、算法简介

海洋捕食者算法(Marine Predators Algorithm,MPA)由Afshin Faramarzi 等人于2020年提出。该算法的主要灵感来自海洋捕食者觅食策略,即海洋捕食者的Lévy和Brownian运动,以及捕食者和猎物之间的最佳相遇率策略,模拟了海洋中适者生存理论。

二、算法原理

MPA优化过程分为三个主要优化阶段,考虑不同的速度比,同时模仿捕食者和猎物的整个生命:

(1)高速比或猎物移动速度快于捕食者时,

(2)单位速度比或捕食者和猎物以几乎相同的速度移动时,

(3)当捕食者移动速度快于猎物时,速度比较低。

对于每个定义的阶段,指定并分配了特定的迭代周期。这些步骤是根据捕食者和猎物运动的性质所规范的规则定义的,同时模仿自然界中捕食者和猎物的运动。这三个阶段包括:

2.1第一阶段

在高速比下或当捕食者移动速度快于猎物时。这种情况发生在优化的初始迭代中,其中探索很重要。根据上图中提取的规则,在高速比(v≥10)下,捕食者的最佳策略是根本不移动。此规则的数学模型应用如下:

2.2第二阶段

单位速度比或捕食者和猎物以相同的速度移动时。它模仿他们俩都在寻找他们的猎物。此部分发生在优化的中间阶段,其中探索尝试暂时转换为开发。在这个阶段,勘探和开发都很重要。因此,一半的人口被指定进行勘探,另一半用于开发。在这个阶段,猎物负责开发,捕食者负责探索。根据规则,在单位速度比(v ≈1)中,如果猎物在Lévy中移动,捕食者的最佳策略是Brownian。因此,仅考虑了Lévy的猎物移动,而捕食者在Brownian中的移动。

2.3第三阶段

 在低速比下或当捕食者比猎物移动得更快时。这种情况发生在优化过程的最后阶段,这主要与高开发能力有关。在低速比(v = 0.1)中,捕食者的最佳策略是Lévy。此阶段为:

2.4涡流形成和FAD的影响

导致海洋捕食者行为变化的另一点是环境问题,例如涡流形成或鱼类聚集装置(FAD)效应。根据Filmalter等人(2011)的研究,鲨鱼80%以上的时间在FAD附近度过,而对于其余的20%,它们将在不同的维度上进行更长的跳跃,可能会找到一个具有另一种猎物分布的环境。FAD 被视为局部最优,其效果被视为在搜索空间中这些点中的捕获。在仿真过程中考虑这些较长的跳跃可以避免局部最优的停滞。因此,FADs效应在数学上表示为:

三、算法描述

四、多目标海洋捕食者算法MOMPA

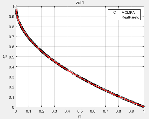
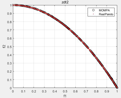
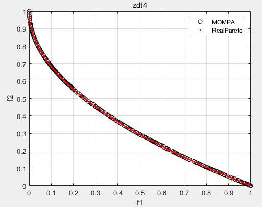
海洋捕食者算法的优良策略与多目标优化算法框架结合形成多目标海洋捕食者算法(MOMPA),为了验证所提的MOMPA的有效性,将其在46个多目标测试函数(ZDT1、ZDT2、ZDT3、ZDT4、ZDT6、DTLZ1-DTLZ7、WFG1-WFG10、UF1-UF10、CF1-CF10、Kursawe、Poloni、Viennet2、Viennet3)上实验。

ZDT1:

ZDT2:

ZDT3:

ZDT4:

DTLZ5:

DTLZ6:

Kursawe:

Viennet2:

五、源文件

源文件夹包含MOMPA所有代码(含46个多目标测试函数)以及原始文献。代码可直接运行,支持二次开发。



创作时间: