多目标优化算法:多目标天鹰优化算法MOAO(Matlab代码)

作品简介

一、算法简介

天鹰优化算法(Aquila Optimizer,AO)由Laith Abualigah等人于2021年提出,该算法的灵感来自天鹰在自然界中捕捉猎物的行为。

天鹰是深棕色的,脖子后面有浅金棕色的羽毛。幼天鹰主要在尾巴上有白色,通常,它们的翅膀上有轻微的白色痕迹。天鹰利用其速度和敏捷性与坚固的脚和大而锋利的爪子相结合,抓住各种猎物,主要是兔子,野兔,深海,土拨鼠,松鼠和其他地面动物。天鹰使用四种狩猎方法:

第一种方法是用垂直弯腰高空翱翔,用于狩猎飞行中的鸟类。天鹰在地面上高空升起,一旦它探索了猎物,天鹰就会进入一个长而低角度的滑翔,随着翅膀的进一步关闭,速度会上升。天鹰需要在其猎物上方有一个高度特征,才能使这种方法取得成功。天鹰在交战之前,翅膀和尾巴展开,脚向前推以抓住猎物。

第二种方法是进行短滑翔攻击的轮廓飞行,这被认为是天鹰最常使用的方法。其中天鹰在地面上以低水平上升,无论猎物是在奔跑还是在飞行,猎物都会被近距离追捕。这种方法有利于狩猎地松鼠,繁殖松鸡或海鸟。

第三种方法是低空飞行,缓慢下降攻击。在这一点上,天鹰低落到地面,接下来对猎物进行猛烈的攻击。天鹰选择它的受害者,并落在猎物的脖子和背部,然后试图穿透。这种狩猎方法用于狩猎行动缓慢的猎物,如响尾蛇,刺猬,狐狸和任何没有逃生反应的猎物。

第四种方法是行走和捕捉猎物,天鹰在陆地上行走并试图拉动猎物。它用于将大型猎物(即鹿或羊)的幼崽拉出覆盖区域。

二、算法原理

天鹰优化算法的优化过程用4种方法表示:垂直弯腰高空翱翔选择搜索空间,高空飞行在分叉搜索空间内探索,在收敛搜索空间内慢速下降攻击,步行捕获猎物。

2.1全局搜索

天鹰识别猎物区域,并通过垂直弯腰的高空翱翔飞行选择最佳狩猎区域。天鹰广泛地从高空翱翔,以确定搜索空间的区域,猎物在哪里。

2.2局部探索

当天鹰从高空翱翔发现猎物区域时,会在目标猎物上方盘旋,然后发动攻击。这种方法称为短滑翔攻击式的轮廓飞行。

2.3全局开采

当猎物区域被准确确定,并且天鹰准备好着陆和攻击时,天鹰会垂直下降,进行初步攻击以试探猎物的反应。这种方法称为低空飞行与缓慢下降攻击。天鹰利用目标的选定区域来接近猎物并进行攻击。

2.4局部开采

当天鹰接近猎物时,天鹰会随机运动攻击猎物。这种方法称为步行捕获猎物。


三、算法描述

四、多目标天鹰优化算法MOAO

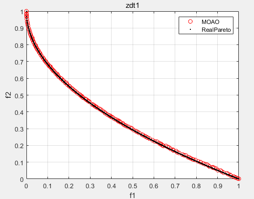
天鹰优化算法的优良策略与多目标优化算法框架结合形成多目标天鹰优化算法(MOAO),为了验证所提的MOAO的有效性,将其在46个多目标测试函数(ZDT1、ZDT2、ZDT3、ZDT4、ZDT6、DTLZ1-DTLZ7、WFG1-WFG10、UF1-UF10、CF1-CF10、Kursawe、Poloni、Viennet2、Viennet3)上实验。

ZDT1:

ZDT2:

ZDT3:

ZDT4:

ZDT5:

DTLZ6:

Viennet3:

五、源文件

源文件夹包含MOAO所有代码(含46个多目标测试函数)以及原始文献。代码可直接运行,支持二次开发。


创作时间: