多目标优化算法:多目标逃逸鸟搜索算法MOEBS(Matlab代码)

作品简介

一、算法简介

逃逸鸟搜索算法(Escaping Bird Search,EBS)由Mohsen Shahrouzi和Ali Kaveh于2022年提出,该算法的灵感来自鸟类的空中逃生策略,以避免被猎人捕获。

二、算法原理

鸟类可采用两种策略来逃离捕食者:水平机动与垂直机动。

在下图中(a)转向策略(平面视图),(b)攀爬飞行和(c)潜水飞行(侧视图)。虚线在错过猎物后跟随捕食者的方式。

水平机动:猎鸟可以选择快速转弯,以避免被水平攻击的捕食者(猎人鸟)捕获。

垂直机动:为了躲避潜水捕食者,猎物使用快速爬升飞行是一种常见的策略。另一种策略可能是当捕食者有攀爬方向来捕获它时,猎物潜水。

三、算法流程

四、多目标逃逸鸟搜索算法MOBES

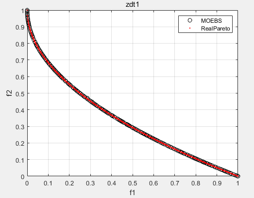
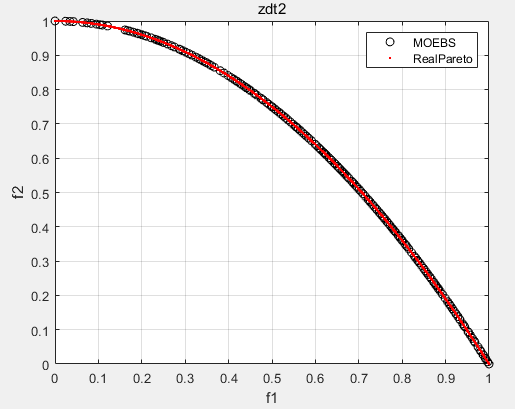
逃逸鸟搜索算法的优良策略与多目标优化算法框架结合形成多目标逃逸鸟搜索算法MOBES),为了验证所提的MOBES的有效性,将其在46个多目标测试函数(ZDT1、ZDT2、ZDT3、ZDT4、ZDT6、DTLZ1-DTLZ7、WFG1-WFG10、UF1-UF10、CF1-CF10、Kursawe、Poloni、Viennet2、Viennet3)上实验。

ZDT1:

ZDT2:

ZDT3:

ZDT4:

DTLZ6:

Viennet3:

五、源文件

源文件夹包含MOEBS所有代码(含46个多目标测试函数)以及原始文献。代码可直接运行,支持二次开发。


创作时间: