多目标优化算法:多目标人工蜂鸟算法MOAHA(Matlab代码)

作品简介

一、算法简介

人工蜂鸟算法(Artificial hummingbird algorithm,AHA)由Weiguo Zhao等人于2021年提出,其灵感来自自然界中蜂鸟的特殊飞行技能和智能觅食策略。

二、算法原理

人工蜂鸟算法模仿蜂鸟的三种觅食策略(引导觅食、领土觅食和迁徙觅食)。 此外,还对觅食策略中使用的各种飞行技能进行了建模,例如轴向,对角线和全向飞行。 同时构建了模仿蜂鸟超常记忆能力的访问表,以引导蜂鸟在算法中执行全局优化。

2.1引导觅食

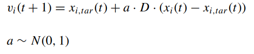
每只蜂鸟都有一种自然的趋势,即以最大的花蜜量访问食物来源,这意味着目标来源需要具有较高的花蜜补充率和蜂鸟长时间未访问的时间。因此,在AHA中,蜂鸟应该确定指导觅食行为访问量最高的食物来源,然后从它们中选择花蜜再填充率最高的食物来源作为其目标食物来源。在确定目标食物来源后,这只蜂鸟可以飞向它觅食。

AHA的引导觅食策略:

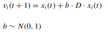
2.2领土觅食

在访问了食用花蜜的目标食物来源后,蜂鸟可能会寻找新的食物来源,而不是访问其他现有的食物来源。因此,蜂鸟可以很容易地移动到自己领土内的邻近地区,其中可以找到新的食物来源作为候选解决方案,可能比目前的解决方案更好。模拟在领地觅食策略中本地搜寻蜂鸟的数学方程和候选食物来源如下:

AHA的领土觅食策略:

2.3迁徙觅食

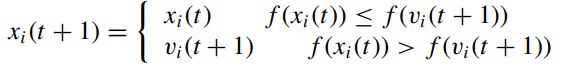
当蜂鸟经常访问的地区往往缺乏食物时,这种蜂鸟通常会迁移到更远的食物来源觅食。在 AHA 算法中,定义了迁移系数。如果迭代次数超过迁移系数的预定值,则位于花蜜再填充率最差的食物源的蜂鸟将迁移到整个搜索空间中随机产生的新食物源。这时,这只蜂鸟会抛弃旧的源头,留在新的源头觅食,然后更新访问表。蜂鸟从花蜜再填充率最差的来源迁徙觅食到随机产生的新蜂鸟可以给出如下:

AHA的迁徙觅食策略:

三、算法描述

四、多目标人工蜂鸟算法MOAHA

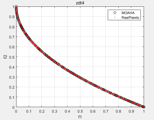
人工蜂鸟算法的优良策略与多目标优化算法框架结合形成多目标人工蜂鸟算法MOAHA),为了验证所提的MOAHA的有效性,将其在46个多目标测试函数(ZDT1、ZDT2、ZDT3、ZDT4、ZDT6、DTLZ1-DTLZ7、WFG1-WFG10、UF1-UF10、CF1-CF10、Kursawe、Poloni、Viennet2、Viennet3上实验。

CF1:

WFG2:

ZDT3:

ZDT4:

DTLZ5:

DTLZ6:

Viennet3:

五、源文件

源文件夹中包含MOAHA的所有源码(含46个测试函数)已经原始论文,代码可直接运行,支持二次开发。



创作时间: