一、算法简介
施肥优化算法(Fertilization optimization algorithm,FO)由Hazim Nasir Ghafil等人于2021年提出,施肥优化算法是一种受哺乳动物繁殖中卵子受精的生物学启发算法。
二、多目标施肥优化算法MOFO
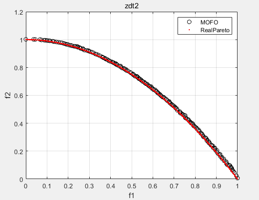
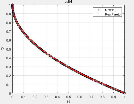
将施肥优化算法的优良策略与多目标优化算法框架结合形成多目标施肥优化算法(MOFO),为了验证所提的MOFO的有效性,将其在46个多目标测试函数(ZDT1、ZDT2、ZDT3、ZDT4、ZDT6、DTLZ1-DTLZ7、WFG1-WFG10、UF1-UF10、CF1-CF10、Kursawe、Poloni、Viennet2、Viennet3)上实验。
ZDT1:
ZDT2:
ZDT3:
ZDT4:
ZDT6:
DTLZ6:
Kursawe:

Viennet3:
三、源文件
源文件夹包含46个多目标测试函数的所有完整代码,可以直接运行,支持二次开发。