离散优化算法:离散孔雀优化算法BPOA(Matlab代码)

作品简介

一、算法简介

孔雀优化算法( peafowl (Pavo muticus/cristatus) optimization algorithm,POA)由Jingbo Wang等人于2022年提出,该算法受孔雀行为启发所得。

二、算法原理


三、离散孔雀优化算法BPOA

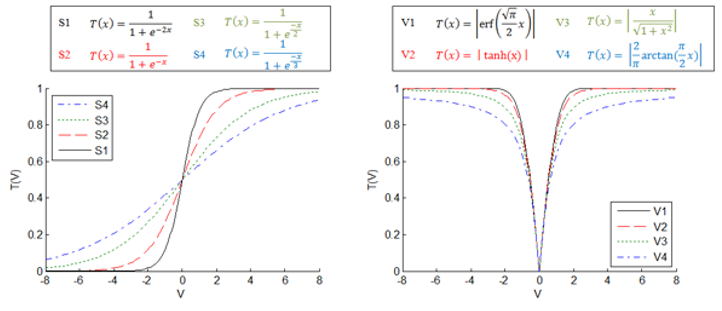
离散孔雀优化算法(Binary peafowl (Pavo muticus/cristatus) optimization algorithm,BPOA)为原始的POA算法通过S型和V型转换函数变换,再通过随机阈值二值化所得。

为验证BPOA的有效性,将运用于函数离散函数求解。从下图的求解曲线可以看出,BPOA算法收敛速度快,可以用于机器人路径规划、背包问题、TSP等问题,应用场景广泛

四、源文件

源文件夹包含BPOA所有代码以及原始论文,代码可直接运行,支持二次开发。



创作时间: