多目标优化算法:多目标金枪鱼群优化算法MOTSO(Matlab代码)

作品简介

一、算法简介:

金枪鱼群优化算法(Tuna Swarm Optimization,TSO)由Lei Xie等人于2021年提出。其灵感来自金枪鱼群的合作觅食行为,包含螺旋觅食抛物线觅食两种策略。金枪鱼群优化算法在单目标问题上具有收敛速度快,求解精度高等特点,是一种不错的元启发算法。

二、算法原理

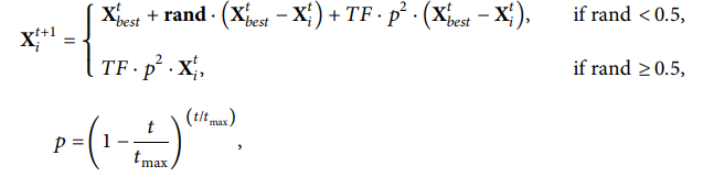
(1)螺旋觅食


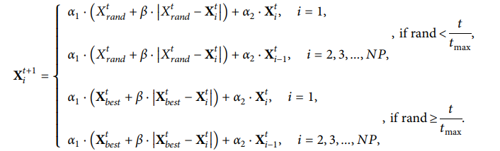
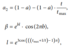
(2)抛物线觅食


(3)流程图


三、多目标金枪鱼群优化算法(MOTSO)

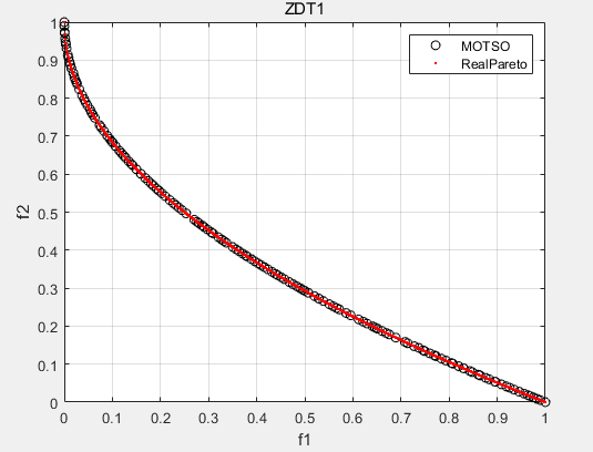
将金枪鱼群优化算法的优良策略与多目标优化算法框架结合形成多目标金枪鱼群优化算法(MOTSO),为了验证所提的MOTSO的有效性,将其在22个多目标测试函数(ZDT1、ZDT2、ZDT3、ZDT4、ZDT6、Kursawe、Poloni、Viennet2、Viennet3、UF1-UF10、CF1-CF3)上实验。 多目标优化算法:多目标金枪鱼群优化算法MOTSO(提供matlab代码)

ZDT1


ZDT2


ZDT3


ZDT4


ZDT6


四、源文件

源文件夹中包含MOTSO的所有测试例子及原论文,代码可直接运行,算法可移植性强。MOTSO算法收敛极快,在多目标领域具有一定的竞争力。


创作时间: