多目标优化算法:多目标野狗优化算法MODOA(Matlab代码)

作品简介

野狗优化算法为2021年最新算法,算法性能高效,其基本原理参考大规模优化:野狗优化算法(DOA)求解CEC2013(matlab源码) (mianbaoduo.com)

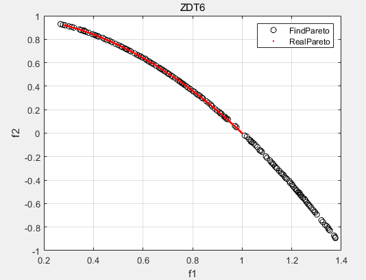
将野狗优化算法的优良策略与多目标框架结合形成多目标野狗优化算法(MODOA),分别在22个测试函数(ZDT1、ZDT2、ZDT3、ZDT4、ZDT6、Kursawe、Poloni、Viennet2、Viennet3、UF1-UF10、CF1-CF3)上实验。

结果如下:

ZDT1:


ZDT2:


ZDT3:


ZDT4:


ZDT6:


CF1:


Poloni:

源文件:文件夹中包含所有的测试函数例子,可以进行二次开发,多目标野狗优化算法性能优越。




创作时间: