多目标优化:多目标变色龙群算法MOCSA(MATLAB代码)

作品简介

变色龙简介:

变色龙,是非常奇特的爬行动物,它有适于树栖生活的种种特征和行为。避役的体长约15-25厘米,身体侧扁,背部有脊椎,头上的枕部有钝三角形突起。四肢很长,指和趾合并分为相对的两组,前肢前三指形成内组,四、五指形成外组;后肢一、二趾形成内组,其他三趾形成外组,这样的特征非常适于握住树枝。

它的尾巴长,能缠卷树枝。它有很长很灵敏的舌,伸出来要超过它的体长。人们一贯认为它舌尖上有腺体,能够分泌粘液粘住昆虫,但事实上,变色龙捕猎时主要靠舌尖产生的强大吸力吸住猎物 。它一双眼睛十分奇特,眼帘很厚,呈环形,两只眼球突出,左右180度,上下左右转动自如,左右眼可以各自单独活动,不协调一致,这种现象在动物中是罕见的。双眼各自分工前后注视,既有利于捕食,又能及时发现后面的敌害。变色龙用长舌捕食是闪电式的,只需1/25秒便可以完成,而且它们的舌头的长度是自己身体的2倍。在树上一走一停的动作使天敌误以为是被风吹动的树叶。

变色龙群算法原理:

变色龙群算法代码:https://mianbaoduo.com/o/bread/mbd-YpWckp5r

变色龙群算法(Chameleon Swarm Algorithm,CSA)。该算法由Malik 于2021年提出,主要模拟了变色龙在树木、沙漠和沼泽附近寻找食物时动态行为。该算法对变色龙寻找食物的行为步骤进行数学建模和实现,其中包括将眼睛旋转近360度进行猎物定位、用高速发射的粘性舌头捕获猎物。算法原理如下:

多目标变色龙群优化算法(MOCSA):

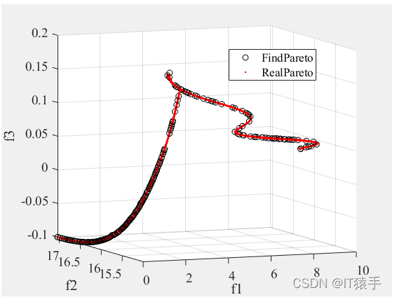
将变色龙群的优良更新策略融入到多目标优化算法框架中,得到多目标变色龙群优化算法(MOCSA),并将其在9个测试函数(ZDT1、ZDT2、ZDT3、ZDT4、ZDT6、Kursawe、Poloni、Viennet2、Viennet3)上实验。实验结果如下:

ZDT1:


ZDT3:


ZDT4:


Kursawe:


Viennet2:


Viennet3:


多目标变色龙群算法在多目标问题上效果极佳,在ZDT数据集上均能快速有效找到Pareto前沿,并且在三目标问题上也表现出色,MOCSA在多目标问题上具有一定的竞争力,潜力十足。

源文件:



创作时间: