大规模优化:变色龙群优化算法(CSA)求解CEC2013(MATLAB代码)

作品简介

在自然界中,变色龙生活在各种各样的地方,如低地、雨林、沙漠、半沙漠甚至山区。变色龙非常善于攀爬,而且视力极佳,可以看到前面32英尺的地方。变色龙通常以蜗牛、螳螂、蟋蟀等昆虫为食。有一些大型变色龙物种甚至会以蜥蜴和小鸟来改善伙食。另一方面,变色龙有许多天敌,如鸟类、蛇,猴子。变色龙之所以叫变色龙,那是因为其可调整自身的颜色以适应其周围环境,这十分有利于变色龙捕食或是逃避天敌。


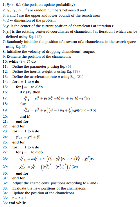
变色龙群优化算法(Chameleon Swarm Algorithm,CSA)由Malik Shehadeh Braik于2021年提出,主要模拟了变色龙在树木、沙漠和沼泽附近寻找食物时动态行为。该算法对变色龙寻找食物的行为步骤进行数学建模和实现,其中包括将眼睛旋转近360度进行猎物定位、用高速发射的粘性舌头捕获猎物。下面让我们一起来看一下CSA算法的奥妙。变色龙群算法原理。


将变色龙群优化算法运用于求解大规模函数测试集CEC2013,其中包含15个测试函数,其维度均为1000维,因而求解难度非常大。

源文件夹中包含所有的15个测试例子代码,以及原始论文,可以支持二次开发。

CSA在CEC2013数据集F1函数的求解效果如下:


当增加迭代次数效果更佳,CSA作为2021最新的算法在求解大规模优化问题上具有一定的潜力。

创作时间: