多目标优化算法:非支配麻雀搜索算法(Non-Dominated Sorting SSA)

作品简介

一、麻雀搜索算法

麻雀搜索算法(SSA)的原理参考博客:麻雀搜索算法(SSA)求解大规模函数优化问题(附源代码)_IT猿手的博客-CSDN博客_麻雀搜索算法

二、非支配麻雀搜索算法NSSSA

将非支配麻雀搜索算法(Non-Dominated Sorting Sparrow Search Algorithm,NSSSA)用于求解46个多目标测试函数(ZDT1、ZDT2、ZDT3、ZDT4、ZDT6、DTLZ1-DTLZ7、WFG1-WFG10、UF1-UF10、CF1-CF10、Kursawe、Poloni、Viennet2、Viennet3)以及个工程应用(盘式制动器设计),并采用IGD、GD、HV、SP进行评价。

部分实验结果:

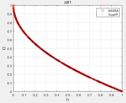
ZDT1:

ZDT2:

ZDT3:

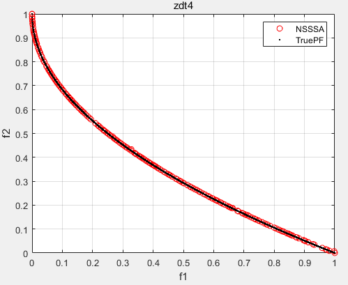
ZDT4:

ZDT6:

DTLZ5:

DTLZ6:

盘式制动器设计:

三、参考代码

源文件夹包含非支配麻雀搜索算法(NSSSA)求解46个多目标测试函数(ZDT1、ZDT2、ZDT3、ZDT4、ZDT6、DTLZ1-DTLZ7、WFG1-WFG10、UF1-UF10、CF1-CF10、Kursawe、Poloni、Viennet2、Viennet3)与工程应用(盘式制动器设计)。同时提供IGD、GD、HV、SP四种评价指标和非支配原理的参考文献,代码可以点击main.m运行。


创作时间: