多目标优化算法:多目标白鹭群优化算法MOESOA

作品简介

一、算法简介

白鹭群优化算法(Egret Swarm Optimization Algorithm,ESOA)由Zuyan Chen等人于2022年提出,该算法由雪白鹭和大白鹭的捕食行为启发所得,通过坐等策略和激进策略协同寻优。

白鹭属共有13种鸟类,其中有 大白鹭 、中白鹭 、小白鹭 和黄嘴白鹭四种,体羽皆是全白,均习称为“白鹭”。这4种白鹭均是中等体型(45-90厘米)的白色鹭。与牛背鹭 的区别在体型较大而纤瘦,嘴及腿黑色,趾黄色,繁殖羽纯白,颈背具细长饰羽,背及胸具蓑状羽。大白鹭体型大,既无羽冠,也无胸饰羽;中白鹭体型中等,无羽冠但有胸饰羽;小白鹭和黄嘴白鹭体型小,羽冠及胸饰羽全有。

白鹭栖息于沿海岛屿、海岸、海湾、河口及其沿海附近的江河、湖泊、水塘、溪流、水稻田和沼泽地带。单独、成对或集成小群活动的情况都能见到,偶尔也有数十只在一起的大群。白天多飞到海岸附近的溪流、江河、盐田和水稻田中活动和觅食。白鹭的羽毛价值高,羽衣多为白色,繁殖季节有颀长的装饰性婚羽。习性与其他鹭类大致相似,但有些种类有求偶表演,包括炫示其羽毛。成大群营巢,又无防御能力,结果因人类的滥捕而濒于灭绝。是涉禽,捕食浅水中的小鱼,两栖类,爬虫类、哺乳动物和甲壳动物。在乔木或灌木上,或者在地面筑起凌乱的大巢。

二、算法原理

多目标优化算法:多目标白鹭群优化算法(Multi-Objective Egret Swarm Optimization Algorithm,MOESOA)_IT猿手的博客-CSDN博客

白鹭群优化算法原理参考:白鹭群优化算法(Egret Swarm Optimization Algorithm) - 知乎 (zhihu.com)

三、算法流程

四、多目标白鹭群优化算法

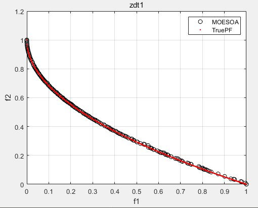
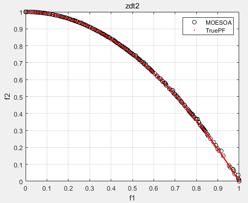
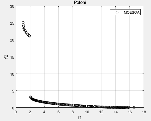
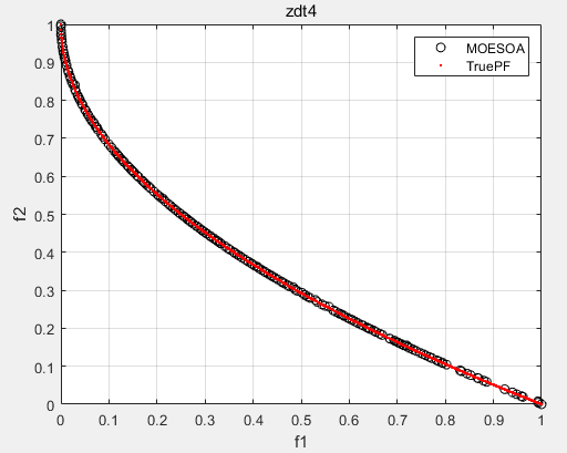
多目标白鹭群优化算法(Multi-Objective Egret Swarm Optimization Algorithm,MOESOA)由白鹭群优化算法的优良策略与多目标优化思想融合而成。为了验证所提的MOCSA的有效性,将其在46个多目标测试函数(ZDT1、ZDT2、ZDT3、ZDT4、ZDT6、DTLZ1-DTLZ7、WFG1-WFG10、UF1-UF10、CF1-CF10、Kursawe、Poloni、Viennet2、Viennet3)以及1个工程应用(盘式制动器设计)上实验,并采用IGD、GD、HV、SP进行指标评价。部分结果如下:

ZDT1:

ZDT2:

ZDT3:

ZDT4:

DTLZ6:

Poloni:

Viennet3:

盘式制动器设计:

五、完整代码

文件夹内包含MOESOA所有MATLAB代码(46个多目标标准测试函数+1个工程应用+4种评价指标),直接点击main.m即可运行。


创作时间: