一种新的启发式算法——长城建造算法(Great Wall Construction Algorithm,GWCA)

作品简介

本期介绍一种新的启发式算法——长城建造算法(Great Wall Construction Algorithm,GWCA)。该算法于 2021年最新发表在JCR1区,中科院1区期刊Expert Systems With Applications

3. 长城建造算法(GWCA)

长城是以城墙为主体,融合了众多城池、关隘、敌楼等设施的综合性防御体系(Waldron,1990),始建于西周时期。作为中国古代首个军事工程,它也是世界七大奇迹之一(Jing,2015)。考古学家发现,长城的建造方法随着时间推移不断发展演变。在长城修建过程中,工匠的管理是核心问题。由于当时硬件设施匮乏,且长城建造大量采用夯土材料(Waldron,1990),其建造流程经过了不断优化。本节将详细阐述长城的建造方式、算法的灵感来源以及所提出的长城建造算法。


3.1 长城的建造方式

关于长城的建造方法,不同学者持有不同观点。其中,一种被广泛认可的方法是:人们借助工具将夯土不断运送到山区,进而修建防御设施(Jing,2015;Yang,2018)。据史料记载,秦始皇修建长城时动用了约 100 万劳工,这一数量占当时全国人口的二十分之一(Jing,2015)。在缺乏先进工具的情况下,仅依靠工匠(包括奴隶、苦力、泥瓦匠、木匠和监工等)施工,长城的建造工期从原本的 10 年延长到了 20 年甚至更久。

除了工程施工本身的挑战外,先进的人员管理机制和施工管理方法也不可或缺。在长城建造过程中,还需考虑工匠的饮食、住宿、薪酬发放以及工作安排等后勤问题。综上可见,长城建造过程对后勤保障有着极高的要求。


3.2 算法灵感来源

如前所述,参与长城建造的工匠包括士兵、苦力和木匠等,他们由皇帝委派的工头(emperor's agent)统一领导。在工头的监督下,工匠们负责搬运各自分配到的石料,并定期向工头汇报工作进展,每位工匠都需完成各自的任务。图 2 展示了工头和工匠等不同角色在建造过程中的作用关系。

图2. 皇帝代理人与工人的主观感知。

施工场地的每位工匠都有明确的工作位置。工头会根据工匠的任务汇报来安排后续工作,表现优秀的工匠有机会晋升为工程师,从而享受更优厚的待遇。因此,工匠们会通过竞争提升排名,以获得更好的福利,工匠之间的竞争关系如图 3 所示。此外,在搬运夯土的过程中,工匠会因体力消耗而需要休息。若某工匠感到疲惫,就会被精力充沛的工匠替换。为提高施工效率,需要不断补充新的劳动力。除了排名竞争,工匠之间还存在技能竞争,因为每个人都能在工作中积累经验和专业知识。在长城建造过程中,工匠们会根据所学知识发明新工具,这些工具能帮助他们更便捷地将材料运送到山顶 —— 也就是长城的修建位置。值得注意的是,山体的坡度和地形复杂度会对工匠的移动速度产生影响。


3.3 所提算法(GWCA)的框架

假设施工场地内散落着夯土,工匠需将这些夯土搬运到指定的安装位置,且每堆夯土的初始位置和搬运成本已知。首先收集并分析所有工匠的任务汇报,然后将工匠划分为工程师、苦力和士兵三类。在搬运过程中,山路的崎岖程度和坡度会影响工匠的搬运速度。此外,由于每位工匠的工作效率存在差异,通过替换工匠可以达到缩短工期的效果。因此,工头会招募新工匠来替换效率低下的工匠。算法 1 给出了 GWCA 的伪代码,图 4 展示了该算法的流程图。该算法遵循以下规则:

  1. 长城的施工地点位于山顶。
  2. 假设从山脚到山顶仅有一条通路。
  3. 在 GWCA 中,山路与水平面的夹角是变化的。
  4. 算法的解由工匠的位置决定,因为工匠负责搬运石料。
  5. 山路的复杂程度会影响工匠的移动速度。
  6. 施工过程中可能会更换部分工匠。

下一小节将详细介绍算法各部分的数学模型。


3.4 数学模型与算法细节

经验丰富的工匠往往能获得最佳工作成效。在长城建造场景中,皇帝会从所有在场工匠中挑选最优秀的工匠担任项目经理。因此,工匠们会向优秀工匠学习,以提升自身工作效率,而效率低下的工匠则会被淘汰。这一优化过程构成了 GWCA 算法的核心逻辑,图 3 展示了这种竞争模式的整体模型。在施工开始前,每位工匠会被分配不同的任务角色,包括工程师、士兵和苦力:工程师使用手推车等工具提高工作效率;士兵负责监督工匠,会主动靠近距离自己最近的工匠并进行监督;苦力则负责搬运石块等重物。最后,项目经理会在完成阶段性施工进度后,淘汰效率低下的工匠。几乎所有元启发式算法都会通过一系列操作生成新解,以下将分别介绍工程师、苦力、士兵的移动数学模型以及工匠淘汰机制的数学模型。

图3. 工人间的竞争。

本小节将在斜坡场景下模拟工匠的移动过程。假设工匠沿山坡移动,为简化分析,调整坐标轴使山坡方向与坐标轴平行。工匠的受力分析如图 5 所示,同时对工匠的重力进行分解分析。

图4. GWCA算法流程图

图5. 工人受力示意图


3.4.1 初始化阶段

在 GWCA 算法中,工匠的位置被视为候选解\(Lac_n\)

,每个候选解由若干决策变量\(Po_i^j\)

构成。这两部分的数学表达式如下:

其中,d

表示每个候选解中的决策变量数量,n

表示工匠数量(即候选解数量)。

在优化初始阶段,\(Po_i^j\)

通过逻辑混沌映射生成混沌序列,以随机确定优化问题中决策变量的初始值。决策变量\(Po_i^j\)

的初始位置在搜索空间内随机确定,数学表达式如下:

其中,\(Po_i^j(0)\)

表示工匠初始位置的初始值;cxl

为逻辑混沌序列;\(UB_j\)

和\(LB_j\)

分别表示第j

个决策变量的上界和下界;\(Rand(0,1)\)

为区间\([0,1]\)

内的随机数。

下文中将建立工匠任务分配的数学模型,分别用\(E_i\)

、\(L_i\)

和\(S_i\)

表示工程师、苦力和士兵的数学模型。此外,工匠之间为获得更优厚的福利会存在竞争关系。


3.4.2 工程师移动的数学模型( exploitation,开发过程)

如前所述,工头会挑选部分工匠担任工程师。工程师能熟练使用工具搬运石料,从而提高工作效率。工程师会与效率最高的工匠(对应最优候选解)展开竞争,相关数学公式如下:

此外,R

的最终作用效果通过乘以区间\([-1,1]\)

内的随机整数实现:当该整数为正时,工程师向领导者位置靠近;为负时,则远离领导者位置。工程师的位置更新模型如图 6 所示。通过上述操作,GWCA 算法能让搜索主体根据\(E_{best}\)

、\(S_{best}\)

和\(L_{best}\)

(分别表示工程师、士兵、苦力中的最优者,统称为 “领导者”)的位置更新自身位置。然而,仅通过这些操作,GWCA 算法容易陷入局部解停滞状态。

图6. 工程人员移动细节

表示第t

次迭代中山路的地形复杂度;\(H(t)\)

表示第t

次迭代中第i

个工匠与山顶的高度差。\(H(t)\)

和\(C(t)\)

的数学模型如下:


3.4.3 士兵移动的数学模型(exploration,探索过程)

公式(9)为士兵的速度表达式,公式(10)表示士兵相对于前一位置的位移。士兵会主动靠近距离自己最近的工匠并监督其工作,其移动状态如图 7 所示。工匠主要根据\(E_{best}\)

、\(S_{best}\)

和\(L_{best}\)

的位置进行搜索:在寻找领导者时,工匠们会相互分散以扩大搜索范围;在替换领导者时,工匠们会向新领导者汇聚。为对这一过程进行数学建模,引入符号函数\(\text{sign}\)

来确定士兵的下一个位置,这一机制体现了 GWCA 的探索能力,用于全局搜索。如图 7 所示,当\(\text{sign}(f(ide)-f(i)) = 1\)

时,工匠向领导者靠近;当\(\text{sign}(f(ide)-f(i))=-1\)

时,工匠远离领导者。

图7. 士兵移动细节示意图

需要注意的是,适应度函数的下降过程是非线性的。此外,为了强调不仅在迭代初期,而且在迭代后期都能保持探索能力,特意要求速度\(v_i(t)\)

在整个迭代过程中始终提供随机值。这一特性在局部优化停滞(尤其是迭代后期)的情况下非常有用。GWCA 中另一个有助于探索的组件是随机数\(R_3\)

和\(R_4\)

。在 GWCA 中,\(R_1\)

、\(R_2\)

、\(R_3\)

和\(R_4\)

为工匠提供随机权重,这些参数使 GWCA 在整个优化过程中表现出更强的随机性,从而促进探索并避免陷入局部最优。


3.4.4 苦力移动的数学模型

工头将除工程师和士兵之外的所有工匠归为苦力。由于苦力体力较弱,无法独立完成夯土搬运任务,因此采用接力方式搬运夯土:苦力们从山脚到山顶排成一列,将装有夯土的篮子依次传递,这样每位苦力只需行走较短的距离。公式(11)为苦力移动的数学模型,苦力的搬运过程如图 2 所示,其运动模型如图 8 所示。

图8. 劳工移动细节

3.4.5 工匠角色模型的选择机制

目前,许多元启发式算法会定义多个模型来生成新解,且算法中的每个搜索主体都必须重复执行所有这些模型。与之不同的是,在 GWCA 算法中,每次迭代时会为每个工匠随机选择并执行三种预定义模型(即工程师、士兵、苦力的移动模型)中的一种。换句话说,上述所有移动行为都是工匠在实际建造过程中的真实行为,且这些行为在同一时间(同一迭代)只会发生一种。因此,如图 9 所示,通过均匀分布的随机过程来确定每次迭代中工匠的行为模式。

图9. 决策移动模型选择流程

综上,GWCA 的搜索过程始于在搜索空间中随机生成一组工匠(候选解)。在迭代过程中,工匠会根据\(E_{best}\)

、\(S_{best}\)

和\(L_{best}\)

的位置估计领导者的可能位置,每个候选解会更新自身与领导者之间的距离。通过随机切换工程师、士兵和苦力三种工作模式,GWCA 实现了探索与开发的平衡控制。最终,当满足终止条件时,GWCA 算法停止运行。


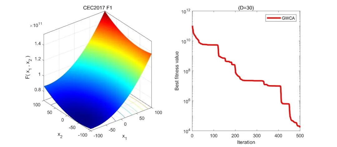
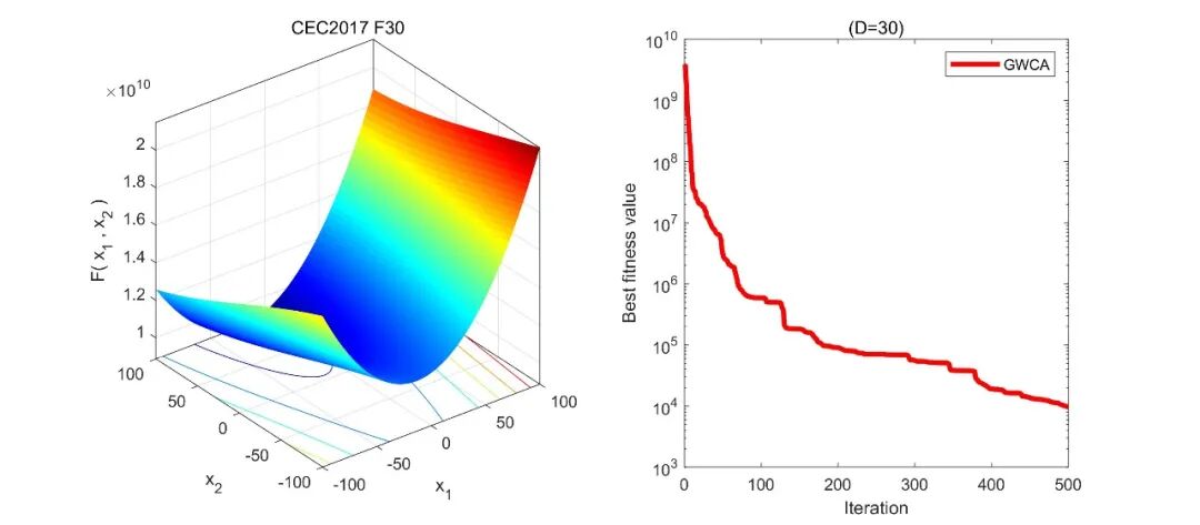
CEC2017效果如下:


需要的小伙伴可以通过以下方式获取源代码:

1. 加我免费获取代码!!!

   VX: huohuo7998

2. 开源网站下载:

https://github.com/guangian/Great-Wall-Construction Algorithm-a-novel-meta-heuristic-algorithm-for-global-optimization

算法定制,文章辅导,算法辅导请私信我哦!

参考文献:Guan, Z., Ren, C., Niu, J., Wang, P., & Shang, Y. (2023). Great Wall Construction Algorithm: A novel meta-heuristic algorithm for engineer problems. Expert Systems with Applications233, 120905.


创作时间: