python实现LASSO核心基因(特征)筛选、重要性排序

作品简介

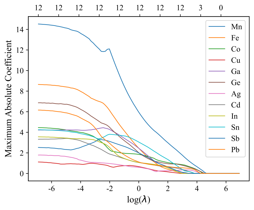
本研究使用Lasso回归进行特征选择,通过模型绘制了系数路径图(图1)和交叉验证误差曲线(图2)。结果显示最佳正则化参数lambdamin为4.328761,1-SE准则下的lambda1se为23.101297。特征重要性分析(图3-4)表明,Mn、Co、Ga等12种元素对模型贡献显著,其中lambda_min选择了12个特征,lambda_1se筛选出9个关键特征。代码实现了正则化路径可视化、交叉验证和特征选择全流程。

图1: Lasso系数路径图

作用:展示随着正则化参数λ(对数形式)增大,各个特征(基因)的系数变化路径。

意义:可以看到哪些基因随着正则化增强(即惩罚力度加大)而趋于0(被剔除),哪些基因在较强惩罚下仍保持非零。顶部数字表示当前λ下非零特征的数量。

图2: 交叉验证误差曲线

作用:通过10折交叉验证确定最优的λ值。图中展示了不同λ下的交叉验证误差(二项偏差)以及误差的变化范围(标准差)。

意义:有两根垂直线:λ.min(最小误差对应的λ)和λ.1se(最小误差一个标准误内的λ,通常用于选择更简单模型)。我们选择λ.1se对应的模型,以平衡模型复杂度和预测能力。

图3: 带方向的特征重要性

作用:以横向条形图展示在最优λ下选中的特征(基因)的系数,并按照系数值(可正可负)排序,同时用颜色区分正负(红色为正,蓝色为负)。

意义:正系数表示该基因的表达水平与目标疾病(如DN)正相关,可能是风险因子;负系数表示负相关,可能是保护因子。该图同时展示特征的影响方向和大小。

图4: 特征绝对重要性

作用:同样采用横向条形图,但展示的是特征系数的绝对值,即忽略方向,只关注影响大小。

意义:可以直观地比较不同基因对模型预测的相对重要性,排序后可以清晰看出哪些基因是最重要的预测因子。

部分代码如下:

# 图1: Lasso系数路径图
for C in C_vals:
    model = LogisticRegression(penalty='l1', solver='saga', multi_class='multinomial', C=C, max_iter=10000)
    model.fit(X_scaled, y)
    coef = model.coef_  # Shape: (n_classes, n_features)
    max_abs_coef = np.max(np.abs(coef), axis=0# Max absolute coefficient per feature

coef_paths = np.array(coef_paths)  # Shape: (100, n_features)

# Plot coefficient paths
fig, ax = plt.subplots(figsize=(10, 6))
log_lambda = np.log(lambda_vals)

ax.set_xlabel('log(lambda)')
ax.set_ylabel('Maximum Absolute Coefficient')
ax.set_title('Lasso Coefficient Path Plot')
ax.legend(loc='upper right')

plt.show()


# 图2: 交叉验证误差曲线
param_grid = {'C': C_vals}
model = LogisticRegression(penalty='l1', solver='saga', multi_class='multinomial', max_iter=10000)

# Extract mean and std of log loss
mean_neg_log_loss = grid_cv.cv_results_['mean_test_score']
std_neg_log_loss = grid_cv.cv_results_['std_test_score']
mean_log_loss = -mean_neg_log_loss  # Convert to positive log loss
std_log_loss = std_neg_log_loss

# Find lambda.min and lambda.1se
idx_min = np.argmin(mean_log_loss)
lambda_min = lambda_vals[idx_min]
threshold = mean_log_loss[idx_min] + std_log_loss[idx_min]
candidates = np.where(mean_log_loss <= threshold)[0]
idx_1se = candidates[-1] if len(candidates) > 0 else idx_min
lambda_1se = lambda_vals[idx_1se]

# Plot CV error curve
fig, ax = plt.subplots(figsize=(10, 6))

ax.axvline(np.log(lambda_min), color='blue', linestyle='--', label='lambda.min')
ax.axvline(np.log(lambda_1se), color='green', linestyle='--', label='lambda.1se')
ax.set_xlabel('log(lambda)')
ax.set_ylabel('Cross-Validation Log Loss')
ax.set_title('Cross-Validation Error Curve')
ax.legend()

plt.show()


# 图3: 带方向的特征重要性
plt.figure(figsize=(10, 6))
colors = ['red' if c > 0 else 'blue' for c in sorted_coefs]  # Red for positive, blue for negative
plt.xlabel('Coefficient Value')
plt.title('Directional Feature Importance Plot')
plt.show()

# 图4: 特征绝对重要性
plt.figure(figsize=(10, 6))
cmap = plt.get_cmap('viridis')
norm = plt.Normalize(vmin=min(sorted_absolute_coefs), vmax=max(sorted_absolute_coefs))
colors = cmap(norm(sorted_absolute_coefs))
plt.xlabel('Absolute Coefficient Value')
plt.title('Absolute Feature Importance Plot')
plt.show()

# Output best alpha (lambda_min) and 1-SE alpha (lambda_1se)
print(f"Best alpha (lambda_min): {lambda_min:.6f}")
print(f"1-SE alpha (lambda_1se): {lambda_1se:.6f}")

Best alpha (lambda_min): 4.328761

1-SE alpha (lambda_1se): 23.101297

print(f"Features selected with lambda_min: {features_min}")
print(f"Features selected with lambda_1se: {features_1se}")

Features selected with lambda_min: ['Mn', 'Fe', 'Co', 'Cu', 'Ga', 'Ge', 'Ag', 'Cd', 'In', 'Sn', 'Sb', 'Pb']

Features selected with lambda_1se: ['Mn', 'Co', 'Ga', 'Ge', 'Ag', 'Cd', 'Sn', 'Sb', 'Pb']

创作时间: