多目标优化算法:多目标非洲秃鹫优化算法MOAVOA

作品简介

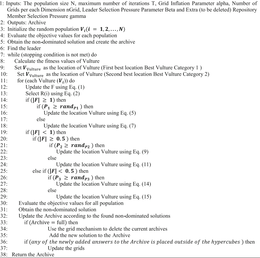
一、多目标非洲秃鹫优化算法

多目标非洲秃鹫优化算法(Multi-objective Africans Vultures Optimization Algorithm,MOAVOA)由Nima Khodadadi等人于2022年提出,该算法思路新颖,求解高效。

MOAVOA算法描述如下:

参考文献:Khodadadi, N., Soleimanian Gharehchopogh, F. & Mirjalili, S. MOAVOA: a new multi-objective artificial vultures optimization algorithmNeural Comput & Applic 34, 20791–20829 (2022). https://doi.org/10.1007/s00521-022-07557-y

二、数值实验

多目标非洲秃鹫优化算法(Multi-objective Africans Vultures Optimization Algorithm,MOAVOA)求解46个多目标测试函数(ZDT1、ZDT2、ZDT3、ZDT4、ZDT6、DTLZ1-DTLZ7、WFG1-WFG10、UF1-UF10、CF1-CF10、Kursawe、Poloni、Viennet2、Viennet3)以及个工程应用(盘式制动器设计),并采用IGD、GD、HV、SP进行评价。

close all;
clear ; 
clc;
%%
% TestProblem测试问题说明:
%一共46个多目标测试函数(1-46),详情如下:
%1-5:ZDT1、ZDT2、ZDT3、ZDT4、ZDT6
%6-12:DTLZ1-DTLZ7
%13-22:wfg1-wfg10
%23-32:uf1-uf10
%33-42:cf1-cf10
%43-46:Kursawe、Poloni、Viennet2、Viennet3
%47 盘式制动器设计 https://blog.csdn.net/weixin_46204734/article/details/124051747


%%
TestProblem=1;%1-47
MultiObj = GetFunInfo(TestProblem);
MultiObjFnc=MultiObj.name;%问题名
% Parameters
params.Np = 100;        % Population size 种群大小
params.Nr = 150;        % Repository size 外部存档中最大数目,可适当调整大小,越大,最终获得的解数目越多
params.maxgen =50;    % Maximum number of generations 最大迭代次数


REP = MOAVOA(params,MultiObj);%多目标非洲秃鹫优化算法

部分结果如下:

ZDT1:

ZDT4:

ZDT6:

Viennet2:

Viennet3:

盘式制动器设计:

三、参考代码

文件夹内包含多目标非洲秃鹫优化算法MOAVOA求解46个多目标测试函数(ZDT1、ZDT2、ZDT3、ZDT4、ZDT6、DTLZ1-DTLZ7、WFG1-WFG10、UF1-UF10、CF1-CF10、Kursawe、Poloni、Viennet2、Viennet3)、工程应用(盘式制动器设计)和评价指标IGD、GD、HV、SP的全部MATLAB代码,点击main.m即可运行。同时提供MOAVOA的参考文献。



创作时间: