多目标优化算法:非支配排序的鲸鱼优化算法NSWOA

作品简介

一、非支配排序的鲸鱼优化算法

非支配排序的鲸鱼优化算法(Non-Dominated Sorting Whale Optimization Algorithm,NSWOA)由Pradeep Jangir和 Narottam Jangir于2017年提出。

NSWOA算法流程如下:

二、数值实验

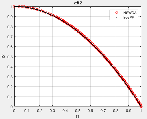
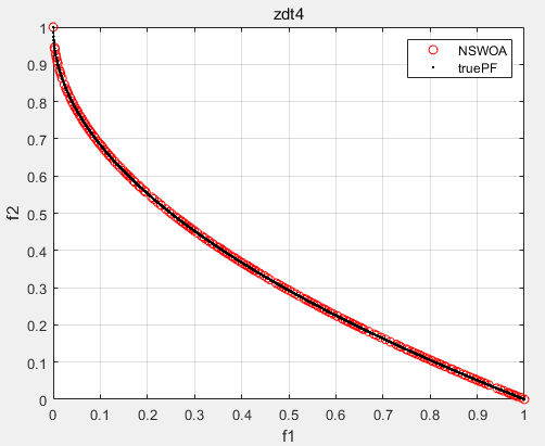
将NSWOA用于求解46个多目标测试函数(ZDT1、ZDT2、ZDT3、ZDT4、ZDT6、DTLZ1-DTLZ7、WFG1-WFG10、UF1-UF10、CF1-CF10、Kursawe、Poloni、Viennet2、Viennet3)以及个工程应用(盘式制动器设计),并采用IGD、GD、HV、SP进行评价。

部分结果如下:

ZDT1:

ZDT2:

ZDT3:

ZDT4:

ZDT5:

Viennet3:

盘式制动器设计:

三、参考代码

文件夹内包含所有代码,可以直接点击MainNSWOA.m运行。



创作时间: