1.软件版本
matlab2022a
2.运行方法
使用matlab2022a或者高版本仿真,运行文件夹中的tops.m或者main.m。运行时注意matlab左侧的当前文件夹窗口必须是当前工程所在路径。具体操作观看提供的程序操作视频跟着操作。
3.部分仿真截图

编辑

编辑
4.内容简介
PSO是粒子群优化算法(——Particle Swarm Optimization)的英文缩写,是一种基于种群的随机优化技术,由Eberhart和Kennedy于1995年提出。粒子群算法模仿昆虫、兽群、鸟群和鱼群等的群集行为,这些群体按照一种合作的方式寻找食物,群体中的每个成员通过学习它自身的经验和其他成员的经验来不断改变其搜索模式。。这里理论部分和论文《基于配电系统可靠性的开关优化配置研究》完全相同,项目就仿真代码的算法流程做简单的介绍。

编辑
传统的PSO如下:

编辑
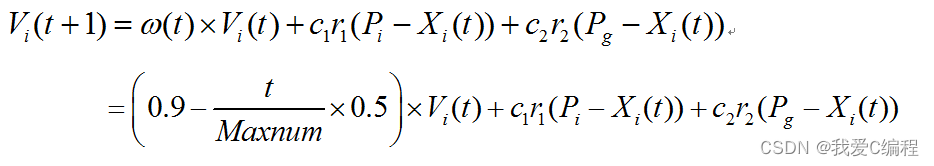
本课题对PSO做了如下两点改进:
第一,引入惯性因子:

编辑
那么上面的式子可以表示为:

编辑
第二,引入变异因子:

编辑
PSO初始化为一群随机粒子(随机解)。然后通过迭代找到最优解,在每一次迭代中,粒子通过跟踪两个“极值”来更新自己。第一个就是粒子本身所找到的最优解,这个解叫做个体极值。另一个极值是整个种群目前找到的最优解,这个极值是全局机制。另外也可以不用整个种群而只是用其中一部分作为粒子的邻居,那么在所有邻居中的极值就是局部极值。