多目标优化算法:多目标红鸢优化算法MOROA

作品简介

一、红鸢优化算法

红鸢优化算法(Red kite Optimization Algorithm,ROA)由Jalal Raeisi Gahruei和Zahra Beheshti于2022年提出。ROA详细信息见:单目标优化:红鸢优化算法(Red kite Optimization Algorithm,ROA)求解CEC2017 - 知乎 (zhihu.com)

参考文献:Jalal Raeisi Gahruei, Zahra Beheshti, The Electricity Consumption Prediction using Hybrid Red kite Optimization Algorithm with Multi-Layer Perceptron Neural Network, Journal of Intelligent Procedures in Electrical Technology, (2022), Vol. 15 (60), pp. 1-22.

二、多目标红鸢优化算法

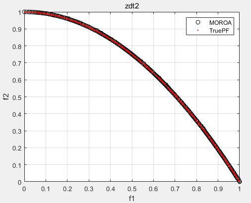
多目标红鸢优化算法(Multi-objective Red kite Optimization Algorithm,MOROA)由红鸢优化算法的优良策略与多目标优化思想融合而成。为了验证所提的MOROA的有效性,将其在46个多目标测试函数(ZDT1、ZDT2、ZDT3、ZDT4、ZDT6、DTLZ1-DTLZ7、WFG1-WFG10、UF1-UF10、CF1-CF10、Kursawe、Poloni、Viennet2、Viennet3)以及1个工程应用(盘式制动器设计)上实验,并采用IGD、GD、HV、SP进行指标评价。

close all;
clear ; 
clc;
% Multi-objective Red kite Optimization Algorithm (MOROA)
%%
% TestProblem测试问题说明:
%一共46个多目标测试函数,详情如下:
%1-5:ZDT1、ZDT2、ZDT3、ZDT4、ZDT6
%6-12:DTLZ1-DTLZ7
%13-22:wfg1-wfg10
%23-32:uf1-uf10
%33-42:cf1-cf10
%43-46:Kursawe、Poloni、Viennet2、Viennet3
%47 盘式制动器设计(工程应用) 温泽宇,谢珺,谢刚,续欣莹.基于新型拥挤度距离的多目标麻雀搜索算法[J].计算机工程与应用,2021,57(22):102-109.
%%
TestProblem=1;
MultiObj = GetFunInfo(TestProblem);
MultiObjFnc=MultiObj.name;%问题名
% Parameters
params.Np = 300;        % Population size
params.Nr = 300;        % Repository size
params.maxgen =100;    % Maximum number of generations
name=MultiObj.name;
% MOROA
REP = MOROA(params,MultiObj);
Xbest=REP.pos;%Repository particles positions
Fbest=REP.pos_fit;%Repository fitness values
%% 画结果图
figure(2)
if(size(Fbest,2)==2)
    h_rep = plot(Fbest(:,1),Fbest(:,2),'ok'); hold on;
       if(isfield(MultiObj,'truePF'))
            h_pf = plot(MultiObj.truePF(:,1),MultiObj.truePF(:,2),'.r'); hold on;
            legend('MOROA','TruePF');
       else
           legend('MOROA');
       end


        grid on; xlabel('f1'); ylabel('f2');
end
if(size(Fbest,2)==3)
    h_rep = plot3(Fbest(:,1),Fbest(:,2),Fbest(:,3),'ok'); hold on;
       if(isfield(MultiObj,'truePF'))
            h_pf = plot3(MultiObj.truePF(:,1),MultiObj.truePF(:,2),MultiObj.truePF(:,3),'.r'); hold on;
            legend('MOROA','TruePF');
       else
           legend('MOROA');
       end


        grid on; xlabel('f1'); ylabel('f2');zlabel('f3');
end
title(name)


%%  Metric Value
Obtained_Pareto=REP.pos_fit;
if(isfield(MultiObj,'truePF'))%判断是否有参考的PF
True_Pareto=MultiObj.truePF;
% ResultData的值分别是IGD、GD、HV、Spacing  (HV越大越好,其他指标越小越好)
ResultData=[IGD(Obtained_Pareto,True_Pareto),GD(Obtained_Pareto,True_Pareto),HV(Obtained_Pareto,True_Pareto),Spacing(Obtained_Pareto)];
disp(['IGD、GD、HV、SP:',num2str(ResultData)]);
else
    %计算每个算法的Spacing,Spacing越小说明解集分布越均匀
    ResultData=Spacing(Obtained_Pareto);%计算的Spacing
    disp(['SP:',num2str(ResultData)]);
end

    

部分结果:

ZDT1:

ZDT2:

ZDT3:

Viennet3:

盘式制动器设计:

三、参考代码

文件夹内包含所有代码,可以直接点击main.m运行。


创作时间: