注意,本资源是在资源:
《m短波宽带通信系统的信道建模matlab仿真》
https://mbd.pub/o/bread/mbd-Y5uXlplp
的基础上,增加了一个使用实际语音信号,通过ITS信道的测试功能,并带GUI界面,其他内容相同,购买前注意下。
1.软件版本
matlab2022a
2.运行方法
使用matlab2022a或者高版本仿真,运行文件夹中的tops.m或者main.m。运行时注意matlab左侧的当前文件夹窗口必须是当前工程所在路径。具体操作观看提供的程序操作视频跟着操作。
3.部分仿真截图

编辑

编辑

编辑
4.内容简介
以往人们对于短波信道的理解很大程度上局限于窄带过程。近来,由于扩频大容量短波通信的需求发展,宽带短波信道的特征得到了广泛的研究。对于短波信道,损耗和畸变是最主要的两种传输影响。它包括自由空间传播损耗、电离层吸收损耗、多跳地面反射损耗和一些额外系统损耗。信号畸变包括:信道参数时变、多径传播和信号色散。一般来讲,多径时延又可分为inter-modal和intra-modal两种形式。Inter-modal延迟包括multimode(多模式包括多层模式、O模式和X模式以及高低仰角模式等)和multi-hop(多跳模式)情况,这种情况下主要引起码间串扰。Intral-modal延迟由地理场强影响、电离层不均匀性和电离层介质的色散特性引起的,在这种情况下将引起信号脉冲畸变,这种情况下限制了信道的带宽。
Watterson信道
由于高频信道往往在时域和频域上是随着时间变化而变化的,所以仅仅在有限的频带内进行分析,因为在有限长的时间内,信号基本是稳定的,所以可以选取一个基本静态的模型进行分析,在实际信号传播过程中,信道可以看出是一个有限数量的相互相关的离散信号模型的组合。此外,Watterson信道模型,其建立在其信道衰弱时服从Rayleigh分布的,每种模式的多谱勒扩展是高斯谱分布。

编辑

编辑
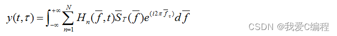
ITS信道
1993年,Vogler在Radio Science上发表了一篇经典的宽带短波建模的文章,根据Wagner和Basler等人的实验数据推导出信道的传递函数,脉冲响应以及散射函数来得出宽带信道的数学模型。信道的输出信号的表达式为:

编辑
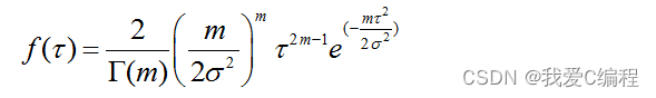
ITS短波宽带信道模型中的最为主要的一个部分就是功率延迟剖面函数,功率延迟剖面函数的确定是信道仿真的最大难点,这是由于功率延迟剖面函数中的需要参数和变量都需要实际测试才能获得。
但是,在实际中,我们可以通过近似的方法来获得功率延迟剖面函数,本文,我们将研究ITS模型中功率延迟剖面函数的等效表示方式。通过相关文献可知,功率延迟谱函数的曲线与某些参数先的Nakagami函数曲线比较接近,所以,本文,我们将通过Nakagami函数来模拟出最小误差的ITS模拟功率延迟剖面函数,已知Nakagami函数的表达式为:

编辑
那么本系统的仿真结果就可以用如下的结构框图表示:

编辑