1.软件版本
matlab2022a
2.运行方法
使用matlab2022a或者高版本仿真,运行文件夹中的tops.m或者main.m。运行时注意matlab左侧的当前文件夹窗口必须是当前工程所在路径。具体操作观看提供的程序操作视频跟着操作。
3.部分仿真截图

编辑

编辑
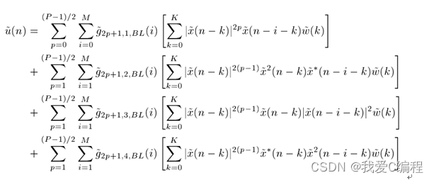
4.内容简介
DPD是数字预失真的首字母缩写,许多射频(RF)工程师、信号处理爱好者和嵌入式软件开发人员都熟悉这一术语。DPD在蜂窝通信系统中随处可见,使功率放大器(PA)能够有效地为天线提供最大功率。随着5G使基站中的天线数量增加,频谱变得更加拥挤,DPD开始成为一项关键技术,支持开发经济高效且符合规格要求的蜂窝系统。
对于DPD,无论从纯粹的数学角度出发,还是在微处理器上实现更受限制,我们许多人都有自己独特的见解。您可能是负责评估RF基站产品中DPD性能的工程师,或者是一名算法开发人员,很想知道数学建模技术在实际系统中的实现方式。
当基站射频装置输出RF信号时(参见图1),需要先将其放大,然后再通过天线发射。我们使用RF PA来执行此操作(放大)。在理想情况下,PA接收输入信号,然后输出与其输入成正比的更高功率信号。在执行此操作期间,PA会尽可能保持高能效,将提供给放大器的大部分直流电源都转化为信号输出功率。
编辑
Volterra级数即含记忆的泰勒级数,其数学公式与泰勒级数及其相似,Volterra 级数模型的输出信号,其计算公式是通过输入信号的幂次方来表达的。Volterra级数与泰勒级数不同之处在于Volterra级数具有延迟功能,因此Volterra级数更适合应用在具有记忆效应的功率放大器线性化处理过程中。

编辑