1.软件版本
matlab2022a
2.运行方法
使用matlab2022a或者高版本仿真,运行文件夹中的tops.m或者main.m。运行时注意matlab左侧的当前文件夹窗口必须是当前工程所在路径。具体操作观看提供的程序操作视频跟着操作。
3.部分仿真截图

编辑

编辑
4.内容简介
本文推导了符号间干扰(ISI)信道的矢量形状因子图表示。结果图具有树形结构,避免了现有图方法中的短周期问题。基于联合高斯近似,我们在LLR(对数似然比)之间建立了联系由二进制输入和LMMSE(线性最小均方误差)驱动的线性系统的估计器高斯输入驱动的线性系统的估计器。此连接有助于应用最近提出的ISI信道无周期图高斯消息传递技术。
LMMSE+Turbo主要原理见如下文献:
![]()
编辑
从参考文献中的内容可知,整个系统大概的结构如下所示:

编辑
所以,我们按这个结构进行编程设计。
LMMSE:
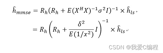
首先将MMSE计算公式中的XHX用其均值来代替,即

编辑
为什么用均值来代替即时值能降低计算复杂度?这需要分析XHX里面的数据是什么,它是一个MM的矩阵,其对角线上是已知数据(导频信号)的功率,而其他位置的数据则是已知数据与其自身延迟数据的相关,该相关值可近似为满足标准正态分布的信号(均值为0)。那么对应到E(XHX),其对角线上的数据就是已知数据的平均功率,而其他位置的数据则为0。因此通过这种替代,可将hmmse进一步做如下化简

编辑

编辑
其中SNR为接收信号的信噪比,而β则是与调制方式有关的一个常数。
TURBO:
turbo Codes译码是一类具有反馈结构的伪随机译码器,2个码可以交替互不影响的译码,并且还可以通过关于系统码信息位的软判决输出相互传递信息,进行递推式迭代译码。Turbo译码结构如图1所示:

编辑
Turbo码的译码算法主要分为两大类:一类是基于最大后验概率(Maximum A Posteriori,MAP)软输出算法,这类算法由标准MAP算法演化得来。对标准MAP算法取对数得到Log-MAP算法,对Log-MAP算法中的分支度量进行简化,得到MAX-Log-MAP算法。另一类是基于Viterbi算法的软输出算法,是对卷积码的译码算法Viterbi的改进,使其满足SISO特性,软信息可以在两个分量译码器之间交换。这种改进的Viterbi算法为软输出Viterbi算法(SOVA)。