1.软件版本
matlab2022a
2.运行方法
使用matlab2022a或者高版本仿真,运行文件夹中的tops.m或者main.m。运行时注意matlab左侧的当前文件夹窗口必须是当前工程所在路径。具体操作观看提供的程序操作视频跟着操作。
3.部分仿真截图

编辑

编辑

编辑

编辑
4.内容简介
所谓信道估计,就是从接收数据中将假定的某个信道模型的模型参数出来的过程。如果信道是线性的话,那么信道估计就是对系统冲激响应进行估计。
CS-OMP
正则正交匹配追踪(Regularized OMP)算法在超宽带系统信道估计中的应用。OMP算法在应用于稀疏信号恢复时,具备贪婪算法计算速度快和计算复杂度低的特点。超宽带通信(UWB)系统的信道估计需要估计一组最大径的参数,而OMP具有能够可靠恢复近似稀疏含噪信号的能力,适用于UWB信道估计。
假设需要重构信号x,现可将信号x抽象为RN空间的N×1维列向量,在RN空间中,任何信号均可以使用N×1的规范正交基向量
编辑
线性表示:
编辑
其中,
编辑
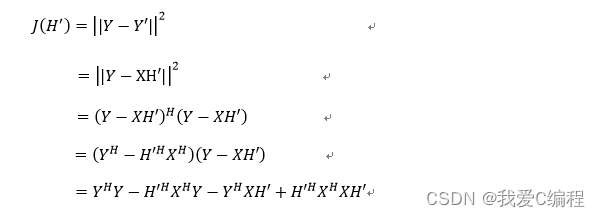
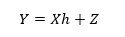
∈RN为投影系数,但仅有K个非零元素(K< 在CS理论中,对需要重构的信号x的采样,实际上是利用M×N的矩阵 的M个行向量对投影系数向量的一个线性投影过程。信号x经过线性变换后,输出的观测信号y包含M个参数,每一个参数均为信号x的一个观测量,即: LS 在LS估计中,我们使用Y和Y‘’来进行计算,估计出的结果是H’而并非H,若估计的结果H’使得Y’与Y误差最小,则能得到的结果应该是H’与H(带三角)的误差最小,但H(带三角)也不是真实的信道矩阵,其内还包含了一个误差项Z/X,因此对于LS信道估计而言,其结果的精度是受这个误差项影响的,而这个误差项概括来说就是和SNR相关,SNR越大,误差项越小,LS估计精度越高。现依据LS最优准则对上式中H’进行估计,首先给出LS准则的代价函数 MMSE 依旧是给出假定的信号关系式 Y为接收数据(包含多径)大小为Nx1。 X为先验信息,大小为NXM。 h为信道冲激响应,大小为MX1。 Z为噪声,大小为NX1。 MMSE信道估计的代价函数为
编辑
编辑

编辑

编辑

编辑