1.软件版本
matlab2022a
2.运行方法
使用matlab2022a或者高版本仿真,运行文件夹中的tops.m或者main.m。运行时注意matlab左侧的当前文件夹窗口必须是当前工程所在路径。具体操作观看提供的程序操作视频跟着操作。
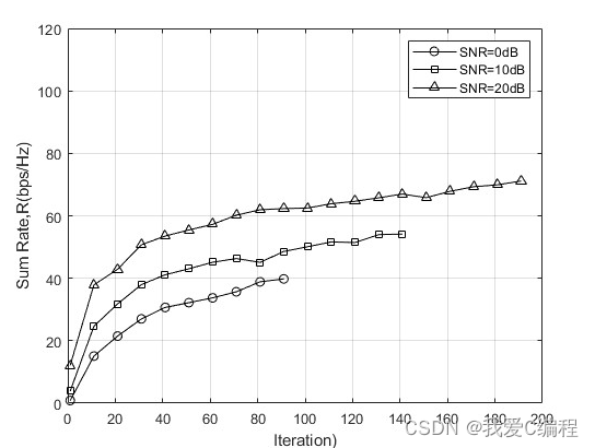
3.部分仿真截图

编辑

编辑

编辑

编辑

编辑
4.内容简介
在单用户MIMO场景中,空间复用技术能够带来高数据速率的传输,但是也需要一些前提条件,比如发射端的预编码或者接收端的信道估计与信号检测。然而,在大多数的通信系统中,不只是有单个用户在进行通信,而是需要大量用户共享资源与基站去进行通信。
算法的主要流程根据提供的参考文献论文可知:

编辑
这里我说明一下我们的算法的含义
步骤1:

编辑
这个就是设置T和R的最小值,设置为dk,然后设置Vk和Pk,具体变量含义看论文。这个部分程序如下所示:

编辑
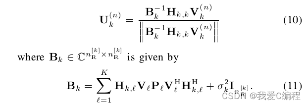
步骤2~4:

编辑
根据公式11和10进行计算,

编辑
这个部分程序设计的时候体现在整体的循环中,如下所示:
![]()
编辑

编辑
![]()
编辑
步骤5 ![]()
编辑

编辑

编辑
步骤6 ![]()
编辑

编辑
这个部分的计算代码如下所示:

编辑
步骤7 ![]()
编辑

编辑
这个部分的计算代码如下所示:

编辑
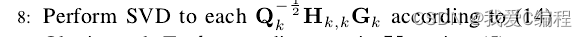
步骤8![]()
编辑
步骤9![]()
编辑

编辑
步骤10

编辑
![]()
编辑
这个部分的计算代码如下所示:
![]()
编辑
之前做的是过程中,主要是上述算法涉及到大量的矩阵运算,对于矩阵的维度容易弄错而导致算法出错,后来逐一排查后才解决了这个问题。