1.软件版本
matlab2022a
2.运行方法
使用matlab2022a或者高版本仿真,运行文件夹中的tops.m或者main.m。运行时注意matlab左侧的当前文件夹窗口必须是当前工程所在路径。具体操作观看提供的程序操作视频跟着操作。
3.内容简介
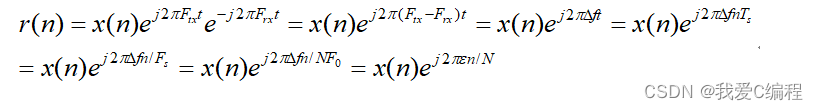
发射机的载波Ftx和接收机的载波Frx,是由各自射频硬件电路上的晶振源提供,由于是两个独立的物理器件,不可避免的存在频率上的偏差。频率偏差,会造成调制数据相位上的旋转,在接收端必须对频偏进行纠正。
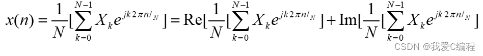
介绍了OFDM调制的本质,是两级的IQ调制,第二级IQ调制,将第一级得到的复信号,实部和虚部分别在I路和Q路上发射出去。基带的IQ两路序列为x(n)的实部和虚部:

编辑为方便表达,通常将第二级IQ调制发射出去的射频信号表达为复等效形式:

编辑
Ftx为发射载波频率,相当于把基带的x(n)信号,搬到Ftx频点上发射出去。在接收端,采用与Ftx相同的载波频率将x(n)搬到基带,于是有

编辑
正交频分复用(OFDM)以及它和多输入多输出(MIMO)的结合—MIMO-OFDM是目前宽带无线通信非常具有潜力的传输技术之一,然而,OFDM和MIMO-OFDM技术对载波频偏(CFO)和相位噪声(PHN)非常敏感,CFO和PHN会破坏OFDM子载波的正交性,严重恶化系统性能。因此,有效对抗CFO和PHN成为OFDM和MIMO-OFDM技术实现的一个重要挑战。
4.部分仿真截图
