1.软件版本
matlab2022a
2.运行方法
使用matlab2022a或者高版本仿真,运行文件夹中的tops.m或者main.m。运行时注意matlab左侧的当前文件夹窗口必须是当前工程所在路径。具体操作观看提供的程序操作视频跟着操作。
3.内容简介
《An efficient quasi-maximum likelihood decoder for PSK signal》

编辑
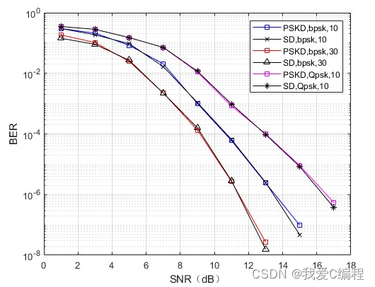
这里,从论文的仿真图可知,我们所要做的主要工作就是本课题所使用的算法和球形译码的性能对比。球形译码的不是本文的研究内容,其主要参考文献3获得,这里不做介绍,这里我们重点介绍本文所研究的PSKD算法。
其中误码率,我们进行系统的误码率分析,而复杂度的对比,我们这里主要是统计仿真时间,然后反映其复杂度,注意,这里仿真时间和电脑的配置有关,配置牛逼,则仿真时间则越短,但是其复杂度的对比曲线基本变化趋势是不变的。
这里,我们主要根据

编辑
上述算法流程进行仿真。
4.部分仿真截图

编辑

编辑

编辑