1.软件版本
matlab2022a
2.运行方法
使用matlab2022a或者高版本仿真,运行文件夹中的tops.m或者main.m。运行时注意matlab左侧的当前文件夹窗口必须是当前工程所在路径。具体操作观看提供的程序操作视频跟着操作。
3.内容简介
在通信系统中,信道所能提供的带宽通常比传送一路信号所需的带宽要宽得多。如果一个信道只传送一路信号是非常浪费的,为了能够充分利用信道的带宽,就可以采用频分复用的方法。
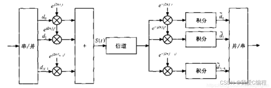
OFDM主要思想是:将信道分成若干正交子信道,将高速数据信号转换成并行的低速子数据流,调制到在每个子信道上进行传输。正交信号可以通过在接收端采用相关技术来分开,这样可以减少子信道之间的相互干扰(ISI) 。每个子信道上的信号带宽小于信道的相关带宽,因此每个子信道上可以看成平坦性衰落,从而可以消除码间串扰,而且由于每个子信道的带宽仅仅是原信道带宽的一小部分,信道均衡变得相对容易。
OFDM技术是HPA联盟(HomePlug Powerline Alliance)工业规范的基础,它采用一种不连续的多音调技术,将被称为载波的不同频率中的大量信号合并成单一的信号,从而完成信号传送。由于这种技术具有在杂波干扰下传送信号的能力,因此常常会被利用在容易受外界干扰或者抵抗外界干扰能力较差的传输介质中。
一个OFDM符号之内包含多个经过相移键控(PSK)或者正交幅度调制(QAM)的子载波。
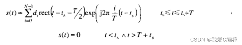
一旦要把传输的比特分配到各个子载波上,某一种调制模式则将他们映射为子载波的幅度和相位,通常采用等效基带信号来描述OFDM的输出信号:

编辑
其中信号的实部和虚部分别对应OFDM的同相和正交分量,在实际系统可以分别与对应的c o s coscos分量和s i n sinsin分量相乘。

编辑
4.部分仿真截图

编辑

编辑

编辑

编辑

编辑

编辑