1.软件版本
matlab2022a
2.运行方法
使用matlab2022a或者高版本仿真,运行文件夹中的tops.m或者main.m。运行时注意matlab左侧的当前文件夹窗口必须是当前工程所在路径。具体操作观看提供的程序操作视频跟着操作。
3.内容简介
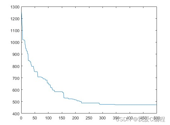
粒子群优化算法(PSO),粒子群中的每一个粒子都代表一个问题的可能解, 通过粒子个体的简单行为,群体内的信息交互实现问题求解的智能性。
在求解TSP这种整数规划问题的时候, PSO显然与ACO不同, PSO需要对算法本身进行一定的修改, 毕竟PSO刚开始是应用在求解连续优化问题上的.
在路径规划中,我们将每一条路径规划为一个粒子,每个粒子群群有 n 个粒 子,即有 n 条路径,同时,每个粒子又有 m 个染色体,即中间过渡点的个数,每 个点(染色体)又有两个维度(x,y),在代码中用 posx 和 posy 表示一个种群。 通过每一代的演化,对粒子群进行演化操作,选择合适个体(最优路径)。

编辑
4.部分仿真截图

编辑

编辑