1.软件版本
matlab2022a
2.运行方法
使用matlab2022a或者高版本仿真,运行文件夹中的tops.m或者main.m。运行时注意matlab左侧的当前文件夹窗口必须是当前工程所在路径。具体操作观看提供的程序操作视频跟着操作。视频播放使用windows media player播放。
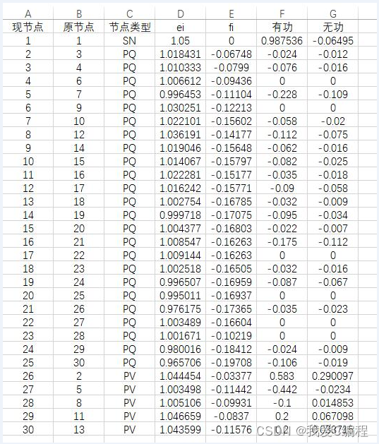
3.部分仿真截图


4.内容简介
在电力工程中,“潮流”还特指电网各处电压(包括幅值与相角)、有功功率、无功功率等的分布。潮流的分布是运行调度单位和维修部门所必须知道的事项。而潮流计算,是指给定电网中一些参数、已知值和未知值中假设的初始值,通过重复迭代,最终求出潮流分布的精确值,常用方法有牛顿-拉夫逊法和PQ分解法。