1.软件版本
matlab2022a
2.运行方法
使用matlab2022a或者高版本仿真,运行文件夹中的tops.m或者main.m。运行时注意matlab左侧的当前文件夹窗口必须是当前工程所在路径。具体操作观看提供的程序操作视频跟着操作。
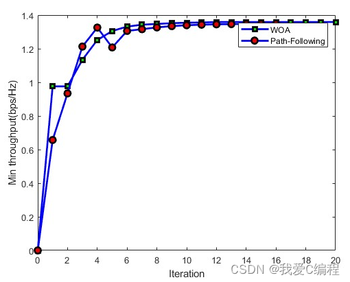
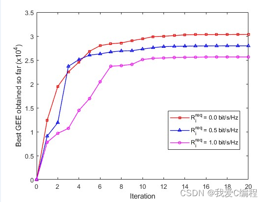
3.部分仿真截图





4.内容简介
鲸鱼算法(Whale Optimization Algorithm,WOA)[1]。鲸鱼优化算法(WOA)是 2016 年由澳大利亚格里菲斯大学的 Mirjalili 等提出的一种新的群体智能优化算法,因算法简练易于实现,且对目标函数条件要求宽松,参数控制较少等种种优点受到一批又一批学者的亲睐,且经过不断的改进WOA已应用于许多领域。WOA算法设计的既精妙又富有特色,它源于对自然界中座头鲸群体狩猎行为的模拟, 通过鲸鱼群体搜索、包围、追捕和攻击猎物等过程实现优时化搜索的目的。在原始的WOA中,提供了包围猎物,螺旋气泡、寻找猎物的数学模型。