无人机路径规划:蜣螂优化算法DBO与麻雀搜索算法SSA求解无人机三维航迹规划

作品简介

一、算法原理

1.1无人机三维航迹规划模型

无人机三维航迹规划_无人机航迹规划_IT猿手的博客-CSDN博客

1.2蜣螂优化算法原理

单目标优化:蜣螂优化算法(Dung beetle optimizer,DBO)_IT猿手的博客-CSDN博客

1.3麻雀搜索算法原理

单目标:麻雀搜索算法(SSA)

二、求解结果

close all
clear
clc
dbstop if all error
global model
model = CreateModel(); % 创建模型
F='F1';
[Xmin,Xmax,dim,fobj] = fun_info(F);%获取函数信息
pop=100;%种群大小(可以自己修改)
maxgen=500;%最大迭代次数(可以自己修改)
[fMin4,bestX4,ConvergenceCurve4] = SSA(pop, maxgen,Xmin,Xmax,dim,fobj);
[fMin5,bestX5,ConvergenceCurve5] = DBO(pop, maxgen,Xmin,Xmax,dim,fobj);

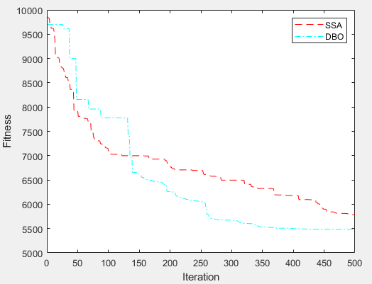
收敛曲线图:

三维路径规划图:

二维航线平面图:

三、参考代码

文件夹内包含完整代码及使用说明,点击main.m即可运行。


创作时间: