1.软件版本
matlab2022a
2.运行方法
使用matlab2022a或者高版本仿真,运行文件夹中的tops.m或者main.m。运行时注意matlab左侧的当前文件夹窗口必须是当前工程所在路径。具体操作观看提供的程序操作视频跟着操作。
3.部分仿真截图











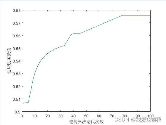
4.内容简介
利用遗传算法来优化 BP 神经网络,利用它来学习神经网络 的权值,并在自适应遗传算法的基础上改进遗传算 子,根据适应度变化调节交叉率和变异率,并利用遗 传算法的全局搜索能力对BP 神经网络的初始权重进 行自适应调整,最终得到一个优化的 BP 神经网络.